Glyceryl Monostearate

Basic Information

Name: Glyceryl Monostearate

CAS No: Octadecanoic acid, monoester with 1,2,3-propanetriol [31566-31-1]

Functional Categories

Emollient Emulsifying agent Solubilizing agent Stabilizing agent Sustained-release agent Tablet and capsule diluent

1. Nonproprietary Names

BP: Glyceryl Monostearate 40–55 JP: Glyceryl Monostearate PhEur: Glycerol Monostearate 40–55 USP-NF: Glyceryl Monostearate Note that the USP32–NF27 also includes a specification for monoand di-glycerides that corresponds to glyceryl monostearate 40–55 in the PhEur 6.0.

2. Synonyms

Capmul GMS-50; Cutina GMS; 2,3-dihydroxypropyl octadecanoate; Geleol; glycerine monostearate; glycerin monostearate; glycerol monostearate; glyceroli monostearas; glycerol stearate; glyceryl stearate; GMS; HallStar GMS; Imwitor 191; Imwitor 900; Kessco GMS; Lipo GMS; monoester with 1,2,3-propanetriol; monostearin; Myvaplex 600P; Myvatex; 1,2,3-propanetriol octadecanoate; Protachem GMS-450; Rita GMS; stearic acid, monoester with glycerol; stearic monoglyceride; Stepan GMS; Tegin; Tegin 503; Tegin 515; Tegin 4100; Tegin M; Unimate GMS.

3. Chemical Name & CAS Registry

Octadecanoic acid, monoester with 1,2,3-propanetriol [31566-31-1]

4. Empirical Formula & Molecular Weight

C21H42O4 , 358.6

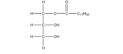
5. Structural Formula

6. Applications

The many varieties of glyceryl monostearate are used as nonionic emulsifiers, stabilizers, emollients, and plasticizers in a variety of food, pharmaceutical, and cosmetic applications. It acts as an effective stabilizer, that is, as a mutual solvent for polar and nonpolar compounds that may form water-in-oil or oil-in-water emulsions.(1,2) These properties also make it useful as a dispersing agent for pigments in oils or solids in fats, or as a solvent for phospholipids, such as lecithin. Glyceryl monostearate has also been used in a novel fluidized hot-melt granulation technique for the production of granules and tablets.(3) Glyceryl monostearate is a lubricant for tablet manufacturing and may be used to form sustained-release matrices for solid dosage forms.(4–6) Sustained-release applications include the formulation of pellets for tablets(7) or suppositories,(8) and the preparation of a veterinary bolus.(9) Glyceryl monostearate has also been used as a matrix ingredient for a biodegradable, implantable, controlledrelease dosage form.(10) When using glyceryl monostearate in a formulation, the possibility of polymorph formation should be considered. The aform is dispersible and foamy, useful as an emulsifying agent or preservative. The denser, more stable, b-form is suitable for wax matrices. This application has been used to mask the flavor of clarithromycin in a pediatric formulation.(11)

7. Description

While the names glyceryl monostearate and mono- and diglycerides are used for a variety of esters of long-chain fatty acids, the esters fall into two distinct grades: 40–55 percent monoglycerides The PhEur 6.0 describes glyceryl monostearate 40–55 as a mixture of monoacylglycerols, mostly monostearoylglycerol, together with quantities of di- and triacylglycerols. It contains 40–55% of monoacylglycerols, 30–45% of diacylglycerols, and 5–15% of triacylglycerols. This PhEur grade corresponds to mono- and di-glycerides USP– NF, which has similar specifications (not less than 40% monoglycerides). 90 percent monoglycerides The USP32–NF27 describes glyceryl monostearate as consisting of not less than 90% of monoglycerides of saturated fatty acids, chiefly glyceryl monostearate (C21H42O4) and glyceryl monopalmitate (C19H38O4). The commercial products are mixtures of variable proportions of glyceryl monostearate and glyceryl monopalmitate. Glyceryl monostearate is a white to cream-colored, wax-like solid in the form of beads, flakes, or powder. It is waxy to the touch and has a slight fatty odor and taste.

8. Pharmacopeial Specifications

Table I compares the specifications for the 40–55% grades, glyceryl monostearate PhEur and mono- and di-glycerides USP–NF. PhEur divides glyceryl monostearate 40–55 into three types according to the proportion of stearic acid ester in the mixture, and those specifications are presented in Table II. Table III presents the specifications for glyceryl monostearate USP–NF (90% monoglycerides). Since the JP specifications are broad enough to encompass both grades, JP is included in both Table I and Table III.

9. Typical Properties

A wide variety of glyceryl monostearate grades are commercially available, including self-emulsifying grades that contain small amounts of soap or other surfactants. Most grades are tailored for specific applications or made to user specifications and therefore have varied physical properties. HLB value 3.8 Flash point 2408C Melting point 55–608C NIR spectra see Figure 1. Polymorphs The a-form is converted to the b-form when heated at 508C.(12) Solubility Soluble in hot ethanol, ether, chloroform, hot acetone, mineral oil, and fixed oils. Practically insoluble in water, but may be dispersed in water with the aid of a small amount of soap or other surfactant. Specific gravity 0.92

10. Stability & Storage

If stored at warm temperatures, glyceryl monostearate increases in acid value upon aging owing to the saponification of the ester with trace amounts of water. Effective antioxidants may be added, such as butylated hydroxytoluene and propyl gallate. Glyceryl monostearate should be stored in a tightly closed container in a cool, dry place, and protected from light.

11. Incompatibilities

The self-emulsifying grades of glyceryl monostearate are incompatible with acidic substances.

12. Method of Manufacture

Glyceryl monostearate is prepared by the reaction of glycerin with triglycerides from animal or vegetable sources, producing a mixture of monoglycerides and diglycerides. The diglycerides may be further reacted to produce the 90% monoglyceride grade. Another process involves reaction of glycerol with stearoyl chloride. The starting materials are not pure substances and therefore the products obtained from the processes contain a mixture of esters, including palmitate and oleate. Consequently, the composition, and therefore the physical properties, of glyceryl monostearate may vary considerably depending on the manufacturer.

13. Safety

Glyceryl monostearate is widely used in cosmetics, foods, and oral and topical pharmaceutical formulations, and is generally regarded as a nontoxic and nonirritant material. LD50 (mouse, IP): 0.2 g/kg(13)

14. Handling Precautions

Observe normal precautions appropriate to the circumstances and quantity of material handled.

15. Regulatory Status

GRAS listed. Included in the FDA Inactive Ingredients Database (oral capsules and tablets; ophthalmic, otic, rectal, topical, transdermal, and vaginal preparations). Included in nonparenteral medicines licensed in the UK. Included in the Canadian List of Acceptable Non-medicinal Ingredients. If glyceryl monostearate is produced from animal fats (tallow), there may be additional regulatory requirements that the source be free of contamination from bovine spongiform encephalopathy.

16. Related Substances

Glyceryl monooleate; glyceryl palmitostearate; self-emulsifying glyceryl monostearate. Self-emulsifying glyceryl monostearate Comments A specification for self-emulsifying glyceryl monostearate was previously included in the PhEur. Self-emulsifying glyceryl monostearate is a grade of glyceryl monostearate to which an emusifying agent has been added. The emulsifier may be a soluble soap, a salt of a sulfated alcohol, a nonionic surfactant, or a quaternary compound. It is used primarily as an emulsifying agent for oils, fats, solvents, and waxes. Aqueous preparations should contain an antimicrobial preservative.

17. Comments

Glyceryl monostearate is one of the materials that have been selected for harmonization by the Pharmacopeial Discussion Group. For further information see the General Information Chapter <1196> in the USP32–NF27, the General Chapter 5.8 in PhEur 6.0, along with the ‘State of Work’ document on the PhEurEDQM website, and also the General Information Chapter 8 in the JP XV. Glyceryl monostearate and other fatty acid monoesters are not efficient emulsifiers. However, they are useful emollients that are readily emulsified by common emulsifying agents and by incorporation of other fatty materials into the formulation. Addition of the monoester materials provides the creams with smoothness, fine texture, and improved stability. In topical applications, glyceryl monostearate is less drying than straight stearate creams, and is not drying when used in protective applications. Glyceryl monostearate can form solid lipid nanoparticles, a colloidal carrier system for controlled drug delivery.(14) Organogels made with glyceryl monostearate have been shown to improve topical absorption of piroxicam.(15) A specification for glyceryl monostearate is contained in the Food Chemicals Codex (FCC).(16) The PubChem Compound ID (CID) for glyceryl monostearate includes 24699 and 15560611.