Benzalkonium Chloride

Basic Information

Name: Benzalkonium Chloride

CAS No: Alkyldimethyl(phenylmethyl)ammonium chloride [8001-54-5]

Functional Categories

Antimicrobial preservative Antiseptic Disinfectant Solubilizing agent Wetting agent

1. Nonproprietary Names

BP: Benzalkonium Chloride JP: Benzalkonium Chloride PhEur: Benzalkonium Chloride USP-NF: Benzalkonium Chloride

2. Synonyms

Alkylbenzyldimethylammonium chloride; alkyl dimethyl benzyl ammonium chloride; benzalkonii chloridum; BKC; Hyamine 3500; Pentonium; Zephiran.

3. Chemical Name & CAS Registry

Alkyldimethyl(phenylmethyl)ammonium chloride [8001-54-5]

4. Empirical Formula & Molecular Weight

The USP32–NF27 describes benzalkonium chloride as a mixture of alkylbenzyldimethylammonium chlorides of the general formula [C6H5CH2N(CH3)2R]Cl, where R represents a mixture of alkyls, including all or some of the group beginning with n-C8H17 and extending through higher homologs, with n-C12H25, n-C14H29, and n-C16H33 comprising the major portion. The average molecular weight of benzalkonium chloride is 360

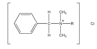
5. Structural Formula

R = mixture of alkyls: n-C8H17 to n-C18H37; mainly n-C12H25 (dodecyl), n-C14H29 (tetradecyl), and n-C16H33 (hexadecyl).

6. Applications

Benzalkonium chloride is a quaternary ammonium compound used in pharmaceutical formulations as an antimicrobial preservative in applications similar to other cationic surfactants, such as cetrimide. In ophthalmic preparations, benzalkonium chloride is one of the most widely used preservatives,(1) at a concentration of 0.01–0.02% w/v. Often it is used in combination with other preservatives or excipients, particularly 0.1% w/v disodium edetate, to enhance its antimicrobial activity against strains of Pseudomonas. In nasal,(2) and otic formulations a concentration of 0.002–0.02% w/v is used, sometimes in combination with 0.002–0.005% w/v thimerosal. Benzalkonium chloride 0.01% w/v is also employed as a preservative in small-volume parenteral products. Benzalkonium chloride was also shown to enhance the topical penetration of lorazepam.Benzalkonium chloride is additionally used as a preservative in cosmetics.

7. Description

Benzalkonium chloride occurs as a white or yellowish-white amorphous powder, a thick gel, or gelatinous flakes. It is hygroscopic, soapy to the touch, and has a mild aromatic odor and very bitter taste.

8. Pharmacopeial Specifications

See Table I.

9. Typical Properties

Acidity/alkalinity pH = 5–8 for a 10% w/v aqueous solution. Antimicrobial activity Benzalkonium chloride solutions are active against a wide range of bacteria, yeasts, and fungi. Activity is more marked against Gram-positive than Gramnegative bacteria and minimal against bacterial endospores and acid-fast bacteria, see Table II. The antimicrobial activity of benzalkonium chloride is significantly dependent upon the alkyl composition of the homolog mixture.(4) Benzalkonium chloride is ineffective against some Pseudomonas aeruginosa strains, Mycobacterium tuberculosis, Trichophyton interdigitale, and T. rubrum. However, combined with disodium edetate (0.01–0.1% w/v), benzyl alcohol, phenylethanol, or phenylpropanol, the activity against Pseudomonas aeruginosa is increased.(5) Antimicrobial activity may also be enhanced by the addition of phenylmercuric acetate, phenylmercuric borate, chlorhexidine, cetrimide, or m-cresol.(6,7) In the presence of citrate and phosphate buffers (but not borate), activity against Pseudomonas can be reduced. See also Sections 11 and 12. Benzalkonium chloride is relatively inactive against spores and molds, but is active against some viruses, including HIV.(8) Inhibitory activity.increases with pH, although antimicrobial activity occurs at pH 4–10. Density 0.98 g/cm3 at 208C Melting point 408C NIR spectra see Figure 1. Partition coefficients The octanol : water partition coefficient varies with the alkyl chain length of the homolog: 9.98 for C12, 32.9 for C14, and 82.5 for C16. Solubility Practically insoluble in ether; very soluble in acetone, ethanol (95%), methanol, propanol, and water. Aqueous solutions of benzalkonium chloride foam when shaken, have a low surface tension and possess detergent and emulsifying properties.

10. Stability & Storage

Benzalkonium chloride is hygroscopic and may be affected by light, air, and metals. Solutions are stable over a wide pH and temperature range and may be sterilized by autoclaving without loss of effectiveness. Solutions may be stored for prolonged periods at room temperature. Dilute solutions stored in polyvinyl chloride or polyurethane foam containers may lose antimicrobial activity. The bulk material should be stored in an airtight container, protected from light and contact with metals, in a cool, dry place

11. Incompatibilities

Incompatible with aluminum, anionic surfactants, citrates, cotton, fluorescein, hydrogen peroxide, hypromellose,(9) iodides, kaolin, lanolin, nitrates, nonionic surfactants in high concentration, permanganates, protein, salicylates, silver salts, soaps, sulfonamides, tartrates, zinc oxide, zinc sulfate, some rubber mixes, and some plastic mixes. Benzalkonium chloride has been shown to be adsorbed to various filtering membranes, especially those that are hydrophobic or anionic.(10)

12. Method of Manufacture

Benzalkonium chloride is formed by the reaction of a solution of Nalkyl-N-methylbenzamine with methyl chloride in an organic solvent suitable for precipitating the quaternary compound as it is formed.

13. Safety

Benzalkonium chloride is usually nonirritating, nonsensitizing, and is well tolerated in the dilutions normally employed on the skin and mucous membranes. However, benzalkonium chloride has been associated with adverse effects when used in some pharmaceutical formulations.(11) Ototoxicity can occur when benzalkonium chloride is applied to the ear(12) and prolonged contact with the skin can occasionally cause irritation and hypersensitivity. Benzalkonium chloride is also known to cause bronchoconstriction in some asthmatics when used in nebulizer solutions.(13–17) Toxicity experiments with rabbits have shown benzalkonium chloride to be harmful to the eye in concentrations higher than that normally used as a preservative. However, the human eye appears to be less affected than the rabbit eye and many ophthalmic products have been formulated with benzalkonium chloride 0.01% w/v as the preservative. Benzalkonium chloride is not suitable for use as a preservative in solutions used for storing and washing hydrophilic soft contact lenses, as the benzalkonium chloride can bind to the lenses and may later produce ocular toxicity when the lenses are worn.(18) Solutions stronger than 0.03% w/v concentration entering the eye require prompt medical attention. Local irritation of the throat, esophagus, stomach, and intestine can occur following contact with strong solutions (>0.1% w/v). The fatal oral dose of benzalkonium chloride in humans is estimated to be 1–3 g. Adverse effects following oral ingestion include vomiting, collapse, and coma. Toxic doses lead to paralysis of the respiratory muscles, dyspnea, and cyanosis. LD50 (mouse, oral): 150 mg/kg(19) LD50 (rat, IP): 14.5 mg/kg LD50 (rat, IV): 13.9 mg/kg LD50 (rat, oral): 300 mg/kg LD50 (rat, skin): 1.42 g/kg

14. Handling Precautions

Observe normal precautions appropriate to the circumstances and quantity of material handled. Benzalkonium chloride is irritant to the skin and eyes and repeated exposure to the skin may cause hypersensitivity. Concentrated benzalkonium chloride solutions accidentally spilled on the skin may produce corrosive skin lesions with deep necrosis and scarring, and should be washed immediately with water, followed by soap solutions applied freely. Gloves, eye protection, and suitable protective clothing should be worn.

15. Regulatory Status

Included in the FDA Inactive Ingredients Database (inhalations, IM injections, nasal, ophthalmic, otic, and topical preparations).Included in nonparenteral medicines licensed in the UK. It is also included in the Canadian List of Acceptable Non-medicinal Ingredients.

16. Related Substances

Benzethonium chloride; cetrimide.

17. Comments

Benzalkonium chloride has been used in antiseptic wipes and has been shown to produce significantly less stinging or burning than isopropyl alcohol and hydrogen peroxide.(20) The EINECS numbers for benzalkonium chloride are 264-151- 6; 260-080-8; 269-919-4; 270-325-2; 287-089-1. The PubChem Compound ID (CID) for benzalkonium chloride is 3014024