Isomalt

Basic Information

Name: Isomalt

CAS No: Isomalt [64519-82-0], 6-O-a-D-glucopyranosyl-D-sorbitol (1,6-GPS) [534-73-6], 1-O-a-D-glucopyranosyl-D-mannitol dihydrate (1,1-GPM) [20942-99-8]

Functional Categories

Coating agent Granulation aid Sweetening agent Tablet and capsule diluent medicated confectionary base

1. Nonproprietary Names

BP: Isomalt PhEur: Isomalt USP-NF: Isomalt

2. Synonyms

C*PharmIsoMaltidex; E953; galenIQ; hydrogenated isomaltulose; hydrogenated palatinose; IsoMaltidex 16500; isomaltum; Palatinit.

3. Chemical Name & CAS Registry

Isomalt [64519-82-0], 6-O-a-D-glucopyranosyl-D-sorbitol (1,6-GPS) [534-73-6], 1-O-a-D-glucopyranosyl-D-mannitol dihydrate (1,1-GPM) [20942-99-8]

4. Empirical Formula & Molecular Weight

C12H24O11 344.32 (for anhydrous) C12H24O112H2O 380.32 (for dihydrate)

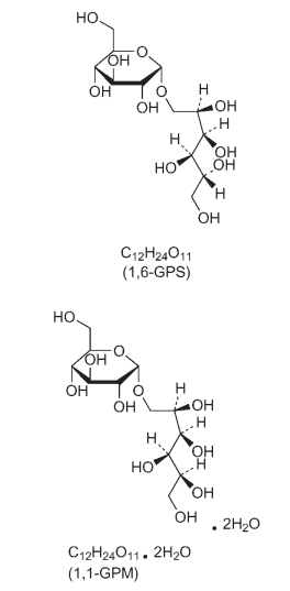
5. Structural Formula

Generally, isomalt comprises a mixture of 1,6-GPS and 1,1-GPM. 1,6-GPS crystallizes without water and is more soluble than 1,1- GPM. By shifting the ratio of the two components, the solubility and crystal water content can be adjusted; see Section 10. galenIQ 720 has a GPM : GPS ratio of 1 : 1; galenIQ 721 has a GPM : GPS ratio of 1 : 3.

6. Applications

Isomalt is a noncariogenic excipient used in a variety of pharmaceutical preparations including tablets or capsules, coatings, sachets, and suspensions, and in effervescent tablets. It can also be used in direct compression and wet granulation.(1) In buccal applications such as chewable tablets it is commonly used because of its negligible negative heat of solution, mild sweetness, and ‘mouth feel’. (2,3) It is also used widely in lozenges, sugar-free chewing gum, and hard-boiled candies, and as a sweetening agent in confectionery for diabetics.

7. Description

Isomalt is a sugar alcohol (polyol) that occurs as a white or almost white powder or granular or crystalline substance. It has a pleasant sugarlike taste with a mild sweetness approximately 50–60% of that of sucrose.(2–4

8. Pharmacopeial Specifications

See Table I.

9. Typical Properties

Angle of repose see Table II. Compressibility Compression characteristics may vary, depending on the grade of isomalt used; see Figure 1. Density (bulk) see Table II. Density (tapped) see Table II. Density (true) 1.52 g/cm3 for 1,6-GPS; 1.47 g/cm3 for 1,1-GPM. Flowability Powder is cohesive; granules are free flowing.(2) Glass transition temperature 638C for a 1 : 3 mixture of 1,1-GPM and 1,6-GPS; 688C for 1,1-GPM; 598C for 1,6-GPS.(2) Heat of combustion 0.017 kJ/kg(5) Heat of solution þ14.6 kJ/mol for an equimolar mixture of 1,1- GPM and 1,6-GPS.(2) Hygroscopicity Not hygroscopic until 85% RH, at 258C.(2) See also Figure 2. Melting point 141–1618C for a 1 : 3 mixture of 1,1-GPM and 1,6-GPS; 166–1688C for 1,6-GPS; 168–1718C for 1,1-GPM.(2) Minimum ignition temperature >4608C Moisture content see Figure 2. Particle size distribution Approximately 90% >100 mm for galenIQ 720; approximately 58% >20 mm for galenIQ 800; approximately 99% >200 mm for galenIQ 960. pH 3–10(3) Solubility see Figure 3.

10. Stability & Storage

Isomalt has very good thermal and chemical stability. When it is melted, no changes in the molecular structure are observed. It exhibits considerable resistance to acids and microbial influences.(1) Isomalt is non-hygroscopic, and at 258C does not significantly absorb additional water up to a relative humidity (RH) of 85%; paracetamol (acetaminophen) tablets based on isomalt were stored for 6 months at 85% RH at 208C and retained their physical aspect.(1) If stored under normal ambient conditions, isomalt is chemically stable for many years. When it is stored in an unopened container at 208C and 60% RH, a re-evaluation after 3 years is recommended. Isomalt does not undergo browning reactions; it has no reducing groups, and therefore it does not react with other ingredients in a formulation (e.g. with amines in Maillard reactions).

12. Method of Manufacture

Isomalt is produced from food-grade sucrose in a two-stage process. Beet sugar is converted by enzymatic transglucosidation into the reducing disaccharide isomaltulose. This undergoes catalytical hydrogenation to produce isomalt.

13. Safety

Isomalt is used in oral pharmaceutical formulations, confectionery, and food products. It is generally regarded as a nontoxic, nonallergenic, and nonirritant material. Toxicological and metabolic studies on isomalt(5–10) have been summarized in a WHO report prepared by the FAO/WHO Expert Committee (JECFA), resulting in an acceptable daily intake of ‘not specified’. (11) The glycosidic linkage between the mannitol or sorbitol moiety and the glucose moiety is very stable, limiting the hydrolysis and absorption of isomalt in the small intestine. There is no significant increase in the blood glucose level after oral intake, and glycemic response is very low, making isomalt suitable for diabetics. The majority of isomalt is fermented in the large intestine. In general, isomalt is tolerated very well, although excessive consumption may result in laxative effects.(12–14) Isomalt is not fermented by bacteria present in the mouth; therefore no significant amount of organic acid is produced that attacks tooth enamel.(15–17)

14. Handling Precautions

Observe normal precautions appropriate to the circumstances and quantity of material handled. Eye protection, gloves, and a dust mask or respirator are recommended.

15. Regulatory Status

GRAS listed. Accepted as a food additive in Europe.

17. Comments

Compression of isomalt without lubrication is difficult, and problems such as die wall sticking, capping, and lamination have been observed. The addition of a lubricant such as magnesium stearate will reduce die wall adhesion. Co-extrusion of isomalt with paracetamol (acetaminophen) significantly improved the tableting properties of the mixtures, compared to physical mixtures of drug and isomalt.(18) Direct molding is also a potentially suitable technique for producing isomalt-based tablets.(18) A variety of different grades of isomalt are commercially available that have different applications, e.g. galenIQ 720 and 721 are used in direct compression, galenIQ 810 is used in wet granulation, galenIQ 981 is used in coatings, and galenIQ 990 is used in boilings.