Lecithin

Basic Information

Name: Lecithin

CAS No: Lecithin [8002-43-5], soybeans (CAS [8030-76-0], Egg yolk lecithin (CAS [93685-90-6])

Functional Categories

Emollient Emulsifying agent Solubilizing agent

1. Nonproprietary Names

USP-NF: Lecithin

2. Synonyms

E322; egg lecithin; LSC 5050; LSC 6040; mixed soybean phosphatides; ovolecithin; Phosal 53 MCT; Phospholipon 100 H; ProKote LSC; soybean lecithin; soybean phospholipids; Sternpur; vegetable lecithin

3. Chemical Name & CAS Registry

Lecithin [8002-43-5], soybeans (CAS [8030-76-0], Egg yolk lecithin (CAS [93685-90-6])

4. Empirical Formula & Molecular Weight

The USP32–NF27 describes lecithin as a complex mixture of acetone-insoluble phosphatides that consists chiefly of phosphatidylcholine, phosphatidylethanolamine, phosphatidylserine, and phosphatidylinositol, combined with various amounts of other substances such as triglycerides, fatty acids, and carbohydrates as separated from a crude vegetable oil source. The composition of lecithin (and hence also its physical properties) varies enormously depending upon the source of the lecithin and the degree of purification. Egg lecithin, for example, contains 69% phosphatidylcholine and 24% phosphatidylethanolamine, while soybean lecithin contains 21% phosphatidylcholine,22% phosphatidylethanolamine, and 19% phosphatidylinositol, along with other components.(1

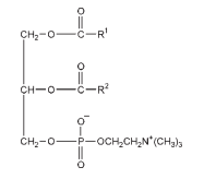
5. Structural Formula

a-Phosphatidylcholine R1 and R2 are fatty acids, which may be different or identical. Lecithin is a complex mixture of materials; see Section 4. The structure above shows phosphatidylcholine, the principal component of egg lecithin, in its a-form. In the b-form, the phosphoruscontaining group and the R2 group exchange positions.

6. Applications

Lecithins are used in a wide variety of pharmaceutical applications; see Table I. They are also used in cosmetics(2) and food products. Lecithins are mainly used in pharmaceutical products as dispersing, emulsifying, and stabilizing agents, and are included in intramuscular and intravenous injections, parenteral nutrition formulations, and topical products such as creams and ointments. Lecithins are also used in suppository bases,(3) to reduce the brittleness of suppositories, and have been investigated for their absorption-enhancing properties in an intranasal insulin formulation.(4) Lecithins are also commonly used as a component of enteral and parenteral nutrition formulations. There is evidence that phosphatidylcholine (a major component of lecithin) is important as a nutritional supplement to fetal and infant development. Furthermore, choline is a required component of FDA-approved infant formulas.(5) Other studies have indicated that lecithin can protect against alcohol cirrhosis of the liver, lower serum cholesterol levels, and improve mental and physical performance.(6) Liposomes in which lecithin is included as a component of the bilayer have been used to encapsulate drug substances; their potential as novel delivery systems has been investigated.(7) This application generally requires purified lecithins combined in specific proportions. Therapeutically, lecithin and derivatives have been used as a pulmonary surfactant in the treatment of neonatal respiratory distress syndrome.

7. Description

Lecithins vary greatly in their physical form, from viscous semiliquids to powders, depending upon the free fatty acid content. They may also vary in color from brown to light yellow, depending upon whether they are bleached or unbleached or on the degree of purity. When they are exposed to air, rapid oxidation occurs, also resulting in a dark yellow or brown color. Lecithins have practically no odor. Those derived from vegetable sources have a bland or nutlike taste, similar to that of soybean oil

8. Pharmacopeial Specifications

See Table II.

9. Typical Properties

Density 0.97 g/cm3 for liquid lecithin; 0.5 g/cm3 for powdered lecithin. Iodine number 95–100 for liquid lecithin; 82–88 for powdered lecithin. Isoelectric point 3.5 NIR spectra see Figure 1. Saponification value 196 Solubility Lecithins are soluble in aliphatic and aromatic hydrocarbons, halogenated hydrocarbons, mineral oil, and fatty acids. They are practically insoluble in cold vegetable and animal oils, polar solvents, and water. When mixed with water, however, lecithins hydrate to form emulsions.

10. Stability & Storage

Lecithins decompose at extreme pH. They are also hygroscopic and subject to microbial degradation. When heated, lecithins oxidize, darken, and decompose. Temperatures of 160–1808C will cause degradation within 24 hours. Fluid or waxy lecithin grades should be stored at room temperature or above; temperatures below 108C may cause separation. All lecithin grades should be stored in well-closed containers protected from light and oxidation. Purified solid lecithins should be stored in tightly closed containers at subfreezing temperatures

11. Incompatibilities

Incompatible with esterases owing to hydrolysis.

12. Method of Manufacture

Lecithins are essential components of cell membranes and, in principle, may be obtained from a wide variety of living matter. In practice, however, lecithins are usually obtained from vegetable products such as soybean, peanut, cottonseed, sunflower, rapeseed, corn, or groundnut oils. Soybean lecithin is the most commercially important vegetable lecithin. Lecithin obtained from eggs is also commercially important and was the first lecithin to be discovered. Vegetable lecithins are obtained as a by-product in the vegetable oil refining process. Polar lipids are extracted with hexane and, after removal of the solvent, a crude vegetable oil is obtained. Lecithin is then removed from the crude oil by water extraction. Following drying, the lecithin may be further purified.(1) With egg lecithin, a different manufacturing process must be used since the lecithin in egg yolks is more tightly bound to proteins than in vegetable sources. Egg lecithin is thus obtained by solvent extraction from liquid egg yolks using acetone or from freeze-dried egg yolks using ethanol (95%).(1) Synthetic lecithins may also be produced

13. Safety

Lecithin is a component of cell membranes and is therefore consumed as a normal part of the diet. Although excessive consumption may be harmful, it is highly biocompatible and oral doses of up to 80 g daily have been used therapeutically in the treatment of tardive dyskinesia.(8) When used in topical formulations, lecithin is generally regarded as a nonirritant and nonsensitizing material.(2) The Cosmetic Ingredients Review Expert Panel (CIR) has reviewed lecithin and issued a tentative report revising the safe concentration of the material from 1.95% to 15.0% in rinse-off and leave-in products. They note, however, that there are insufficient data to rule on products that are likely to be inhaled.(9)

14. Handling Precautions

Observe normal precautions appropriate to the circumstances and quantity of material handled. Lecithins may be irritant to the eyes; eye protection and gloves are recommended.

15. Regulatory Status

GRAS listed. Accepted for use as a food additive in Europe. Included in the FDA Inactive Ingredients Database (inhalations; IM and IV injections; otic preparations; oral capsules, suspensions and tablets; rectal, topical, and vaginal preparations). Included in nonparenteral and parenteral medicines licensed in the UK. Included in the Canadian List of Acceptable Non-medicinal Ingredients.

17. Comments

Poloxamer lecithin organogels have been used in topical formulations for the delivery of non-steroidal anti-inflammatory drugs.(10) Lecithins contain a variety of unspecified materials; care should therefore be exercised in the use of unpurified lecithin in injectable or topical dosage forms, as interactions with the active substance or other excipients may occur. Unpurified lecithins may also have a greater potential for irritancy in formulations. A specification for soybean lecithin is contained in the Japanese Pharmaceutical Excipients (JPE).(11) Suppliers’ literature should be consulted for information on the different grades of lecithin available and their applications in formulations. A specification for lecithin is contained in the Food Chemicals Codex (FCC).(12) The EINECS number for lecithin is 232-307-2. The PubChem Compound ID (CID) for lecithin is 24798685.