Maltose

Basic Information

Name: Maltose

CAS No: 4-O-a-D-Glucopyranosyl-b-D-glucopyranose anhydrous [69-79-4], 4-O-a-D-Glucopyranosyl-b-D-glucopyranose monohydrate [6363- 53-7]

Functional Categories

Sweetening agent Tablet diluent

1. Nonproprietary Names

JP: Maltose Hydrate USP-NF: Maltose

2. Synonyms

Advantose 100; Finetose; Finetose F; 4-O-a-D-glucopyranosyl-b-Dglucose; 4-(a-D-glucosido)-D-glucose; malt sugar; maltobiose; Maltodiose; Maltose HH; Maltose HHH; Sunmalt; Sunmalt S

3. Chemical Name & CAS Registry

4-O-a-D-Glucopyranosyl-b-D-glucopyranose anhydrous [69-79-4], 4-O-a-D-Glucopyranosyl-b-D-glucopyranose monohydrate [6363- 53-7]

4. Empirical Formula & Molecular Weight

C12H22O11 342.30 (anhydrous) C12H22O11H2O 360.31 (monohydrate)

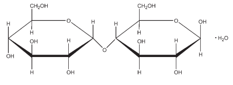
5. Structural Formula

6. Applications

Maltose is a disaccharide carbohydrate widely used in foods and pharmaceuticals. In parenteral products, maltose may be used as a source of sugar, particularly for diabetic patients. Crystalline maltose is used as a direct-compression tablet excipient in chewable and nonchewable tablets.(1–3)

7. Description

Maltose occurs as white crystals or as a crystalline powder. It is odorless and has a sweet taste approximately 30% that of sucrose.

8. Pharmacopeial Specifications

See Table I.

9. Typical Properties

Acidity/alkalinity pH = 4.5–6.5 for a 10% w/v aqueous solution. Angle of repose 37.18 for Advantose 100. (3) Density (bulk) 0.67–0.72 g/cm3 for Advantose 100. (1) Density (tapped) 0.73–0.81 g/cm3 for Advantose 100. (1) Dissociation constant pKa = 12.05 at 218C Flash point >1498C for Advantose 100. (1) Flowability 18% (Carr compressibility index) for Advantose 100. (3) Melting point 120–1258C.(4) NIR spectra see Figure 1. Particle size distribution 15–20% greater than 300 mm, and 70–75% greater than 150 mm in size for Advantose 100. (1) Specific surface area 0.08 m2 /g for Advantose 100.(1) Solubility Very soluble in water; very slightly soluble in cold ethanol (95%); practically insoluble in ether.

10. Stability & Storage

Maltose should be stored in a well-closed container in a cool, dry place

11. Incompatibilities

Maltose may react with oxidizing agents. A Maillard-type reaction may occur between maltose and compounds with a primary amine group, e.g. glycine, to form brown-colored products.(5)

12. Method of Manufacture

Maltose monohydrate is prepared by the enzymatic degradation of starch.

13. Safety

Maltose is used in oral and parenteral pharmaceutical formulations and is generally regarded as an essentially nontoxic and nonirritant material. However, there has been a single report of a liver transplantation patient with renal failure who developed hyponatremia following intravenous infusion of normal immunoglobulin in 10% maltose. The effect, which recurred on each of four successive infusions, resembled that of hyperglycemia and was thought to be due to accumulation of maltose and other osmotically active metabolites in the extracellular fluid.(4) LD50 (mouse, IV): 26.8 g/kg(6) LD50 (mouse, SC): 38.6 g/kg LD50 (rabbit, IV): 25.2 g/kg LD50 (rat, IP): 30.6 g/kg LD50 (rat, IV): 15.3 g/kg LD50 (rat, oral): 34.8 g/kg

14. Handling Precautions

Observe normal precautions appropriate to the circumstances and quantity of material handled. Eye protection, rubber or plastic gloves, and a dust respirator are recommended. When heated to decomposition, maltose emits acrid smoke and irritating fumes.

15. Regulatory Status

In the USA, maltose is considered as a food by the FDA and is therefore not subject to food additive and GRAS regulations. Included in the FDA Inactive Ingredients Database (oral solutions). Included in the Canadian List of Acceptable Non-medicinal Ingredients. Included in parenteral products available in a number of countries worldwide.

16. Related Substances

Glucose, liquid.

17. Comments

Crystalline maltose, e.g. Advantose 100 (SPI Pharma Group), is spray-dried to produce spherical particles with good flow properties. The material is also nonhygroscopic and is highly compressible. A specification for maltose syrup powder is contained in the Japanese Pharmaceutical Excipients (JPE).(7) The EINECS number for maltose is 200-716-5. The PubChem Compound ID (CID) for maltose includes 6255 and 23724983.