Hydroxypropyl Cellulose

Basic Information

Name: Hydroxypropyl Cellulose

CAS No: Cellulose, 2-hydroxypropyl ether [9004-64-2]

Functional Categories

Coating agent Emulsifying agent Stabilizing agent Suspending agent Tablet binder Thickening agent Viscosity-increasing agent

1. Nonproprietary Names

BP: Hydroxypropylcellulose JP: Hydroxypropylcellulose PhEur: Hydroxypropylcellulose USP-NF: Hydroxypropyl Cellulose

2. Synonyms

Cellulose, hydroxypropyl ether; E463; hydroxypropylcellulosum; hyprolose; Klucel; Nisso HPC; oxypropylated cellulose.

3. Chemical Name & CAS Registry

Cellulose, 2-hydroxypropyl ether [9004-64-2]

4. Empirical Formula & Molecular Weight

The PhEur 6.0 and USP32–NF27 describe hydroxypropyl cellulose as a partially substituted poly(hydroxypropyl) ether of cellulose. It may contain not more than 0.6% of silica or another suitable anticaking agent. Hydroxypropyl cellulose is commercially available in a number of different grades that have various solution viscosities. Molecular weight has a range of 50 000–1 250 000;

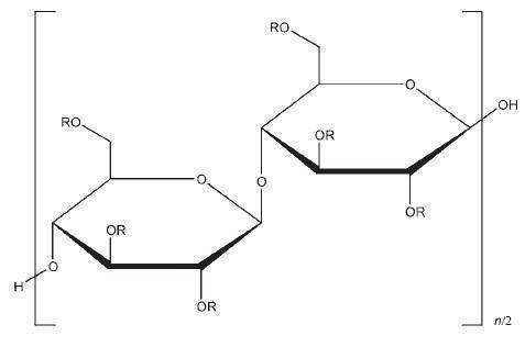
5. Structural Formula

R is H or [CH2CH(CH3)O]mH where m is a common integral number of cellulose derivatives. Hydroxypropyl cellulose is an ether of cellulose where some of the hydroxyl groups of the cellulose have been hydroxypropylated forming –OCH2CH(OH)CH3 groups. The average number of hydroxyl groups in the glucose ring substituted is referred to as the degree of substitution (DS). Complete substitution would provide a DS of 3.0. Because the hydroxypropyl group added contains a hydroxyl group, this can also be etherified during preparation of hydroxypropyl cellulose. When this occurs, the number of moles of hydroxypropyl groups per glucose ring, or moles of substitution (MS), can be higher than 3. Hydroxypropyl cellulose must have an MS value of approximately 4 in order to have good solubility in water.

6. Applications

Hydroxypropyl cellulose is widely used in oral and topical pharmaceutical formulations; see Table I. In oral products, hydroxypropyl cellulose is primarily used in tableting as a binder,(1) film-coating,(2) and extended-release-matrix former.(3–5) Concentrations of hydroxypropyl cellulose of 2–6% w/w may be used as a binder in either wet-granulation or dry, directcompression tableting processes.(6–10) Concentrations of 15–35% w/w of hydroxypropyl cellulose may be used to produce tablets with an extended drug release.(11) The release rate of a drug increases with decreasing viscosity of hydroxypropyl cellulose. The addition of an anionic surfactant similarly increases the viscosity of hydroxypropyl cellulose and hence decreases the release rate of a drug. Blends of hydroxypropyl cellulose and other cellulosic polymers have been used to improve wet granulation characteristics and tableting characteristics, as well as to achieve better control and manipulation of the rate of drug release.(12–15) As an alternative technology to wet granulation, dry granulation and direct compression of hydroxypropyl cellulose formulations have been reported to exhibit acceptable tableting and flow characteristics for application in extended-release matrix tablets.(16,17) Typically, a 5% w/w solution of hydroxypropyl cellulose may be used to film-coat tablets. Aqueous solutions containing hydroxypropyl cellulose together with an amount of methyl cellulose or ethanolic solutions have been used.(18–20) Stearic acid or palmitic acid may be added to ethanolic hydroxypropyl cellulose solutions as plasticizers. Environmental concerns have limited the use of ethanol in film coating solutions. A low-substituted hydroxypropyl cellulose is used as a tablet disintegrant; see Hydroxypropyl Cellulose, Low-substituted. Hydroxypropyl cellulose is also used in microencapsulation processes and as a thickening agent. In topical formulations, hydroxypropyl cellulose is used in transdermal patches and ophthalmic preparations.(21–23) Hydroxypropyl cellulose is also used in cosmetics and in food products as an emulsifier and stabilizer.

7. Description

Hydroxypropyl cellulose is a white to slightly yellow-colored, odorless and tasteless powder.

8. Pharmacopeial Specifications

See Table II.

9. Typical Properties

Acidity/alkalinity pH = 5.0–8.5 for a 1% w/w aqueous solution (as stated in PhEur 6.0). Density (bulk) 0.5 g/cm3 Interfacial tension 12.5mN/m for a 0.1% w/w aqueous solution compared with mineral oil. Melting point Softens at 1308C; chars at 260–2758C. Moisture content Hydroxypropyl cellulose absorbs moisture from the atmosphere; the amount of water absorbed depends upon the initial moisture content and the temperature and relative humidity of the surrounding air. Typical equilibrium moisture content values at 258C are 4% w/w at 50% relative humidity and 12% w/w at 84% relative humidity. See Table III. See also Figure 1. NIR spectra see Figure 2. Particle size distribution Klucel (regular grind), minimum 85% (minimun 80% for Klucel H grades) through a US #30 mesh (590 mm), and minimum 99% through a US #20 mesh (840 mm); Klucel (fine-grind), minimum 99% through a US #60 mesh (250 mm), minimum 90% through a US #80 mesh (177 mm), and minimum 80% through a US #100 mesh (149 mm); Nisso HPC-L (regular type): 99% through a US #40 mesh sieve (350 mm); Nisso HPC-L (fine powder type): 99% through a US #100 mesh sieve (150 mm). Refractive index n D 20 = 1.3353 for a 2% w/v aqueous solution. Solubility Soluble 1 in 10 parts dichloromethane; 1 in 2.5 parts ethanol (95%); 1 in 2 parts methanol; 1 in 5 parts propan-2-ol; 1 in 5 parts propylene glycol; and 1 in 2 parts water. Practically insoluble in aliphatic hydrocarbons; aromatic hydrocarbons; carbon tetrachloride; petroleum distillates; glycerin; and oils. Hydroxypropyl cellulose is freely soluble in water below 388C, forming a smooth, clear, colloidal solution. In hot water, it is insoluble and is precipitated as a highly swollen floc at a temperature between 40 and 458C. Hydroxypropyl cellulose is soluble in many cold or hot polar organic solvents such as dimethyl formamide; dimethyl sulfoxide; dioxane; ethanol (95%); methanol; propan-2-ol (95%); and propylene glycol. There is no tendency for precipitation in hot organic solvents. However, the grade of hydroxypropyl cellulose can have a marked effect upon solution quality in some organic liquids that are borderline solvents, such as acetone; butyl acetate; cyclohexanol; dichloromethane; lactic acid; methyl acetate; methyl ethyl ketone; propan-2-ol (99%); and tert-butanol. The higher-viscosity grades of hydroxypropyl cellulose tend to produce slightly inferior solutions. However, the solution quality in borderline solvents can often be greatly improved by the use of small quantities (5–15%) of a cosolvent. For example, dichloromethane is a borderline solvent for Klucel HF and solutions have a granular texture, but a smooth solution may be produced by adding 10% methanol. Hydroxypropyl cellulose is compatible with a number of high-molecular weight, high-boiling waxes and oils, and can be used to modify certain properties of these materials. Examples of materials that are good solvents for hydroxypropyl cellulose at an elevated temperature are acetylated monoglycerides, glycerides, pine oil, polyethylene glycol, and polypropylene glycol. Specific gravity 1.2224 for particles; 1.0064 for a 2% w/v aqueous solution at 208C. Surface tension see Table IV. Viscosity (dynamic) A wide range of viscosity types are commercially available; see Table V. Solutions should be prepared by gradually adding the hydroxypropyl cellulose to a vigorously stirred solvent. Increasing concentration produces solutions of increased viscosity. See also Section 11 for information on solution stability.

10. Stability & Storage

Hydroxypropyl cellulose powder is a stable material, although it is hygroscopic after drying. Aqueous solutions of hydroxypropyl cellulose are stable at pH 6.0–8.0, with the viscosity of solutions being relatively unaffected. However, at low pH aqueous solutions may undergo acid hydrolysis, resulting in chain scission and hence a decrease in solution viscosity. The rate of hydrolysis increases with increasing temperature and hydrogen ion concentration. At high pH, alkalicatalyzed oxidation may degrade the polymer and result in a decrease in viscosity of solutions. This degradation can occur owing to the presence of dissolved oxygen or oxidizing agents in a solution. Increasing temperature causes the viscosity of aqueous solutions to decrease gradually until the viscosity drops suddenly at about 458C owing to the limited solubility of hydroxypropyl cellulose. However, this process is reversible and on cooling the original viscosity is restored. The high level of substitution of hydroxypropyl cellulose improves the resistance of the polymer to degradation by molds and bacteria.(20) However, aqueous solutions are susceptible to degradation under severe conditions and a viscosity decrease may occur. Certain enzymes produced by microbial action will degrade hydroxypropyl cellulose in solution.(24) Therefore, for prolonged storage, an antimicrobial preservative should be added to aqueous solutions. Solutions of hydroxypropyl cellulose in organic solvents do not generally require preservatives. Ultraviolet light will also degrade hydroxypropyl cellulose and aqueous solutions may therefore decrease slightly in viscosity if exposed to light for several months. Aqueous hydroxypropyl cellulose solutions have optimum stability when the pH is maintained at 6.0–8.0, and also when the solution is protected from light, heat, and the action of microorganisms. Hydroxypropyl cellulose powder should be stored in a wellclosed container in a cool, dry place.

11. Incompatibilities

Hydroxypropyl cellulose in solution demonstrates some incompatibility with substituted phenol derivatives, such as methylparaben and propylparaben. The presence of anionic polymers may increase the viscosity of hydroxypropyl cellulose solutions. The compatibility of hydroxypropyl cellulose with inorganic salts varies depending upon the salt and its concentration; see Table VI. Hydroxypropyl cellulose may not tolerate high concentrations of other dissolved materials. The balance of the hydrophilic–lipophilic properties of the polymer, which are required for dual solubility, reduces its ability to hydrate with water and it therefore tends to be salted out in the presence of high concentrations of other dissolved materials. The precipitation temperature of hydroxypropyl cellulose is lower in the presence of relatively high concentrations of other dissolved materials that compete for the water in the system; see Table VII.

12. Method of Manufacture

A purified form of cellulose is reacted with sodium hydroxide to produce a swollen alkali cellulose that is chemically more reactive than untreated cellulose. The alkali cellulose is then reacted with propylene oxide at elevated temperature and pressure. The propylene oxide can be substituted on the cellulose through an ether linkage at the three reactive hydroxyls present on each anhydroglucose monomer unit of the cellulose chain. Etherification takes place in such a way that hydroxypropyl substituent groups contain almost entirely secondary hydroxyls. The secondary hydroxyl present in the side chain is available for further reaction with the propylene oxide, and ‘chaining-out’ may take place. This results in the formation of side chains containing more than 1 mole of combined propylene oxide.

13. Safety

Hydroxypropyl cellulose is widely used as an excipient in oral and topical pharmaceutical formulations. It is also used extensively in cosmetics and food products. Hydroxypropyl cellulose is generally regarded as an essentially nontoxic and nonirritant material.(25,26) It is not absorbed from the gastrointestinal tract and is fully recovered in feces after oral administration in rats. It does not exhibit skin irritation or skin sensitization. However, the use of hydroxypropyl cellulose as a solid ocular insert has been associated with rare reports of discomfort or irritation, including hypersensitivity and edema of the eyelids. Adverse reactions to hydroxypropyl cellulose are rare. However, it has been reported that a single patient developed contact dermatitis due to hydroxypropyl cellulose in a transdermal estradiol patch.(27) The WHO has specified an acceptable daily intake for hydroxypropyl cellulose of up to 1500 mg/kg body-weight.(28) Excessive consumption of hydroxypropyl cellulose may have a laxative effect. LD50 (rat, IV): 0.25 g/kg(29) LD50 (rat, oral): 10.2 g/kg

14. Handling Precautions

Observe normal precautions appropriate to the circumstances and quantity of material handled. Hydroxypropyl cellulose dust may be irritant to the eyes; eye protection is recommended. Excessive dust generation should be avoided to minimize the risk of explosions.

15. Regulatory Status

GRAS listed. Accepted for use as a food additive in Europe. Included in the FDA Inactive Ingredients Database (oral capsules and tablets; topical and transdermal preparations). Included in nonparenteral medicines licensed in the UK. Included in the Canadian List of Acceptable Non-medicinal Ingredients.

16. Related Substances

Hydroxyethyl cellulose; hydroxypropyl cellulose, low-substituted; hypromellose.

17. Comments

Hydroxypropyl cellulose is one of the materials that have been selected for harmonization by the Pharmacopeial Discussion Group. For further information see the General Information Chapter <1196> in the USP32–NF27, the General Chapter 5.8 in PhEur 6.0, along with the ‘State ofWork’ document on the PhEur EDQM website, and also the General Information Chapter 8 in the JP XV. Hydroxypropyl cellulose is a thermoplastic polymer that can be processed by virtually all fabrication methods used for plastics. It is also used in hot-melt extruded films for topical use. When it is produced with chlorpheniramine maleate, the matrix is stabilized, allowing film processing at lower temperatures.(30) Mucoadhesive hydroxypropyl cellulose microspheres have been prepared for powder inhalation preparations.(31) A specification for hydroxypropyl cellulose is included in the Food Chemicals Codex (FCC).(32)