Alitame

Basic Information

Name: Alitame

CAS No: L-a-Aspartyl-N-(2,2,4,4-tetramethyl-3-thietanyl)-D-alaninamide anhydrous [80863-62-3] L-a-Aspartyl-N-(2,2,4,4-tetramethyl-3-thietanyl)-D-alaninamide hydrate [99016-42-9]

Functional Categories

Sweetening agent

1. Nonproprietary Names

None adopted.

2. Synonyms

Aclame; L-aspartyl-D-alanine-N-(2,2,4,4-tetramethylthietan-3-yl)amide; 3-(L-aspartyl-D-alaninamido)-2,2,4,4-tetramethylthietane.

3. Chemical Name & CAS Registry

L-a-Aspartyl-N-(2,2,4,4-tetramethyl-3-thietanyl)-D-alaninamide anhydrous [80863-62-3] L-a-Aspartyl-N-(2,2,4,4-tetramethyl-3-thietanyl)-D-alaninamide hydrate [99016-42-9]

4. Empirical Formula & Molecular Weight

C14H25N3O4S 331.44 (for anhydrous) C14H25N3O4S21=2H2O 376.50 (for hydrate)

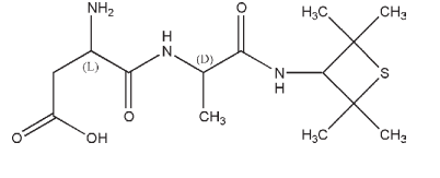
5. Structural Formula

6. Applications

Alitame is an intense sweetening agent developed in the early 1980s and is approximately 2000 times sweeter than sucrose. It has an insignificant energy contribution of 6 kJ (1.4 kcal) per gram of alitame. Alitame is currently primarily used in a wide range of foods and beverages at a maximum level of 40–300 mg/kg.(1)

7. Description

Alitame is a white nonhygroscopic crystalline powder; odorless or having a slight characteristic odor.

8. Pharmacopeial Specifications

9. Typical Properties

Acidity/alkalinity pH = 5–6 (5% w/v aqueous solution) Isoelectric point pH 5.6 Melting point 136–1478C Solubility see Table I

10. Stability & Storage

Alitame is stable in dry, room temperature conditions but undergoes degradation at elevated temperatures or when in solution at low pH. Alitame can degrade in a one-stage process to aspartic acid and alanine amide (under harsh conditions) or in a slow two-stage process by first degrading to its b-aspartic isomer and then to aspartic acid and alanine amide. At pH 5–8, alitame solutions at 238C have a half-life of approximately 4 years. At pH 2 and 238C the half-life is 1 year. Alitame should be stored in a well-closed container in a cool, dry place.

11. Incompatibilities

Alitame may be incompatible with oxidizing and reducing substances or strong acids and bases.

12. Method of Manufacture

Alitame may be synthesized by a number of routes.(2,3) For example, 3-(D-alaninamido)-2,2,4,4-tetramethylthietane is dissolved in water and L-aspartic acid N-thiocarboxyanhydride is then added in portions with vigorous stirring, maintaining the pH of 8.5–9.5. The pH is then adjusted to 5.5 and p-toluenesulfonic acid monohydrate is added over a period of one hour. The precipitated crystalline p-toluenesulfonate salt is collected by filtration. To obtain alitame from its salt, a mixture of Amberlite LA-1 (liquid anion exchange resin), dichloromethane, deionized water, and the salt is stirred for one hour, resulting in two clear layers. The aqueous layer is treated with carbon, clarified by filtration, and cooled to crystallize alitame. Alternatively, tetramethylthietane amine is condensed with an Nprotected form of D-alanine to give alanyl amide. This is then coupled to a protected analogue of L-aspartic acid to give a crude form of alitame. The crude product is then purified.

13. Safety

Alitame is a relatively new intense sweetening agent used primarily in foods and confectionary. It is generally regarded as a relatively nontoxic and nonirritant material. Chronic animal studies in mice, rats, and dogs carried out for a minimum of 18 months at concentrations >100 mg/kg per day exhibited no toxic or carcinogenic effects. In people, no evidence of untoward effects were observed following ingestion of 15 mg/kg per day for two weeks. Following oral administration 7–22% of alitame is unabsorbed and excreted in the feces. The remaining amount is hydrolyzed to aspartic acid and alanine amide. The aspartic acid is metabolized normally and the alanine amide excreted in the urine as a sulfoxide isomer, as the sulfone, or conjugated with glucuronic acid. The WHO has set an acceptable daily intake of alitame at up to 0.1 mg/kg body-weight.(4) LD50 (mouse, oral): >5 g/kg LD50 (rabbit, skin): >2 g/kg LD50 (rat, oral): >5 g/kg

14. Handling Precautions

Observe normal precautions appropriate to the circumstances and quantity of material handled. Eye protection and gloves are recommended. Alitame should be stored in tightly closed containers, and protected from exposure to direct sunlight and higher than normal room temperatures.

15. Regulatory Status

Alitame is approved for use in food applications in a number of countries worldwide including Australia, Chile, China, Mexico, and New Zealand.

16. Related Substances

Acesulfame potassium; aspartame; saccharin; saccharin sodium; sodium cyclamate

17. Comments

The PubChem Compound ID (CID) for alitame is 64763.