Vitamin E Polyethylene Glycol Succinate

Basic Information

Name: Vitamin E Polyethylene Glycol Succinate

CAS No: 4-O-(2-Hydroxyethyl)-1-O-[2,5,7,8-tetramethyl-2-(4,8,12-trimethyltridecyl)-3,4-dihydrochromen-6-yl]butanedioate [9002-96- 4] and [30999-06-5]

Functional Categories

Antioxidant Emulsifying agent Granulation aid Ointment base Solubilizing agent Suspending agent Surfactant Tablet binder

1. Nonproprietary Names

USP-NF: Vitamin E Polyethylene Glycol Succinate

2. Synonyms

Speziol TPGS Pharma; tocofersolan; tocophersolan; tocopherol polyethylene glycol succinate; D-a-tocopheryl polyethylene glycol 1000 succinate; TPGS; vitamin E polyethylene glycol 1000 succinate; vitamin E TPGS; VEGS.

3. Chemical Name & CAS Registry

4-O-(2-Hydroxyethyl)-1-O-[2,5,7,8-tetramethyl-2-(4,8,12-trimethyltridecyl)-3,4-dihydrochromen-6-yl]butanedioate [9002-96- 4] and [30999-06-5]

4. Empirical Formula & Molecular Weight

C33O5H54(CH2CH2O)20–22 , 1513

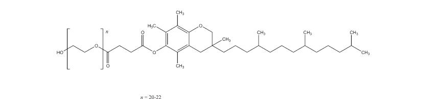
5. Structural Formula

6. Applications

Vitamin E polyethylene glycol succinate is an esterified vitamin E (tocopherol) derivative primarily used as a solubilizer or emulsifying agent because of its surfactant properties.(1) Structurally, it is amphipathic and hydrophilic, unlike the tocopherols, and therefore it is a water-soluble derivative that can be used in pharmaceutical formulations such as capsules,(2) tablets,(3) hot-melt extrusion,(4) microemulsions,(5) topical products,(6) and parenterals.(7) One of the most important applications is its use as a vehicle for lipid-based drug delivery formulations. It can also be used as a source of vitamin E.(1) Vitamin E polyethylene glycol succinate has been characterized with respect to its mechanism of action and studied as a Pglycoprotein inhibitor.(8–11)

7. Description

Vitamin E polyethylene glycol succinate is a synthetic product. It is available as a white to light-brown, waxy solid and is practically tasteless. Chemically, it is a mixture composed principally of monoesterified polyethylene glycol 1000, the diesterified polyethylene glycol 1000, free polyethylene glycol 1000, and free tocopherol.(1

8. Pharmacopeial Specifications

See Table I.

9. Typical Properties

Acid value 41.5(1) Critical micelle concentration 0.02% by weight (378C)(1) HLB value 13.2(1) Melting point 37–418C(1) Solubility Miscible in water in all parts.(1) Specific gravity 1.06 (at 458C)(1

10. Stability & Storage

Vitamin E polyethylene glycol succinate is stable at ambient room temperature for up to 4 years. It reacts with alkalis and acids. Aqueous solutions of vitamin E polyethylene glycol succinate are stable over a pH range of 4.5–7.5 and can be further stabilized with propylene glycol.(1)

11. Incompatibilities

Vitamin E polyethylene glycol succinate is incompatible with strong acids and strong alkalis.

12. Method of Manufacture

Vitamin E polyethylene glycol succinate is prepared by esterification of the acid group of crystalline D-a-tocopheryl acid succinate by polyethylene glycol 1000.

13. Safety

Vitamin E polyethylene glycol succinate has been used at levels of 280 mg/capsule in the product Agenerase (amprenavir), which was dosed at 8 capsules (2240 mg vitamin E TPGS) per day.(2) An additional assessment of the safety of vitamin E polyethylene glycol succinate has been published, which includes a report showing no-observed-adverse-effect-level (NOAEL) in rats of 1000 mg/kg/day.(

14. Handling Precautions

Observe normal precautions appropriate to the circumstances and quantity of the material handled. Gloves and eye protection are recommended.

15. Regulatory Status

GRAS listed. Included in the FDA Inactive Ingredients Database (ophthalmic solution or drops; oral capsules, solution, tablet; topical solution or drops). Included in the Canadian List of Acceptable Non-medicinal Ingredients.

16. Related Substances

Alpha tocopherol.

17. Comments

The PubChem Compound ID (CID) for vitamin E polyethylene glycol succinate is 71406.