Sorbitan Esters (Sorbitan Fatty Acid Esters)

Basic Information

Name: Sorbitan Esters (Sorbitan Fatty Acid Esters)

CAS No: See Table II.

Functional Categories

Dispersing agent Emulsifying agent Nonionic surfactant Solubilizing agent Suspending agent Surfactant Wetting agent

1. Nonproprietary Names

BP: Sorbitan Laurate Sorbitan Oleate Sorbitan Palmitate Sorbitan Stearate Sorbitan Trioleate JP: Sorbitan Sesquioleate PhEur: Sorbitan Laurate Sorbitan Oleate Sorbitan Palmitate Sorbitan Sesquioleate Sorbitan Stearate Sorbitan Trioleate USP-NF: Sorbitan Monolaurate (sorbitan, esters monodecanoate) Sorbitan Monooleate Sorbitan Monopalmitate Sorbitan Monostearate Sorbitan Sesquioleate Sorbitan Trioleate

2. Synonyms

See Table I.

3. Chemical Name & CAS Registry

See Table II.

4. Empirical Formula & Molecular Weight

See Table III.

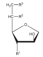
5. Structural Formula

R1 = R2 = OH, R3 = R (see below) for sorbitan monoesters R1 = OH, R2 = R3 = R for sorbitan diesters R1 = R2 = R3 = R for sorbitan triesters where R = (C17H35)COO for isostearate (C11H23)COO for laurate (C17H33)COO for oleate (C15H31)COO for palmitate (C17H35)COO for stearate The sesquiesters are equimolar mixtures of monoesters and diesters.

6. Applications

Sorbitan monoesters are a series of mixtures of partial esters of sorbitol and its mono- and dianhydrides with fatty acids. Sorbitan diesters are a series of mixtures of partial esters of sorbitol and its monoanhydride with fatty acids. Sorbitan esters are widely used in cosmetics, food products, and pharmaceutical formulations as lipophilic nonionic surfactants. They are mainly used in pharmaceutical formulations as emulsifying agents in the preparation of creams, emulsions, and ointments for topical application. When used alone, sorbitan esters produce stable water-in-oil emulsions and microemulsions, but are frequently used in combination with varying proportions of a polysorbate to produce water-in-oil or oil-in-water emulsions or creams of varying consistencies, and also in self-emulsifying drug delivery systems for poorly soluble compounds.(1) Sorbitan monolaurate, sorbitan monopalmitate and sorbitan trioleate have also been used at concentrations of 0.01–0.05% w/v in the preparation of an emulsion for intramuscular administration.

7. Description

Sorbitan esters occur as cream- to amber-colored liquids or solids with a distinctive odor and taste;

8. Pharmacopeial Specifications

See Table VI.

9. Typical Properties

Acid value see Table VII. Density see Table VII. Flash point >1498C HLB value see Table VII. Hydroxyl value see Table VII. Iodine number see Table VII. Melting point see Table VII. Moisture content see Table VIII. NIR spectra see Figure 1. Pour point see Table VII. Saponification value see Table VIII. Solubility Sorbitan esters are generally soluble or dispersible in oils; they are also soluble in most organic solvents. In water, although insoluble, they are generally dispersible.

10. Stability & Storage

Gradual soap formation occurs with strong acids or bases; sorbitan esters are stable in weak acids or bases. Sorbitan esters should be stored in a well-closed container in a cool, dry place.

12. Method of Manufacture

Sorbitol is dehydrated to form a hexitan (1,4-sorbitan), which is then esterified with the desired fatty acid.

13. Safety

Sorbitan esters are widely used in cosmetics, food products, and oral and topical pharmaceutical formulations, and are generally regarded as nontoxic and nonirritant materials. However, there have been occasional reports of hypersensitive skin reactions following the topical application of products containing sorbitan esters.(2–5) When heated to decomposition, the sorbitan esters emit acrid smoke and irritating fumes. The WHO has set an estimated acceptable daily intake of sorbitan monopalmitate, monostearate, and tristearate,(6) and of sorbitan monolaurate and monooleate(7) at up to 25 mg/kg bodyweight calculated as total sorbitan esters. Sorbitan monolaurate LD50 (rat, oral): 33.6 g/kg.(8) Experimental neoplastigen. Sorbitan monostearate LD50 (rat, oral): 31 g/kg.(8) Very mildly toxic by ingestion. Experimental reproductive effects. Sorbitan triisostearate 259-141-3 Sorbitan trioleate 247-569-3 Sorbitan tristearate 247-891-4

14. Handling Precautions

Observe normal precautions appropriate to the circumstances and quantity of material handled. Eye protection and gloves are recommended

15. Regulatory Status

Certain sorbitan esters are accepted as food additives in the UK. Sorbitan esters are included in the FDA Inactive Ingredients Database (inhalations; IM injections; ophthalmic, oral, topical, and vaginal preparations). Sorbitan esters are used in nonparenteral medicines licensed in the UK. Sorbitan esters are included in the Canadian List of Acceptable Non-medicinal Ingredients.

16. Related Substances

Polyoxyethylene sorbitan fatty acid esters.

17. Comments

EINECS numbers Sorbitan diisostearate 269-410-7 Sorbitan dioleate 249-448-0 Sorbitan laurate 215-663-3 Sorbitan oleate 215-665-4 Sorbitan palmitate 247-568-8 Sorbitan sesquiolate 232-360-1 Sorbitan sesquistearate 257-529-7 Sorbitan stearate 215-664-9