Sucralose

Basic Information

Name: Sucralose

CAS No: 1,6-Dichloro-1,6-dideoxy-b-D-fructofuranosyl-4-chloro-4-deoxya-D-galactopyranoside [56038-13-2]

Functional Categories

Sweetening agent

1. Nonproprietary Names

USP-NF: Sucralose

2. Synonyms

Splenda; sucralosa; sucralosum; SucraPlus; TGS; 10 ,40 ,60 -trichlorogalactosucrose; 4,10 ,60 -trichloro-4,10 ,60 -trideoxy-galacto-sucrose.

3. Chemical Name & CAS Registry

1,6-Dichloro-1,6-dideoxy-b-D-fructofuranosyl-4-chloro-4-deoxya-D-galactopyranoside [56038-13-2]

4. Empirical Formula & Molecular Weight

C12H19Cl3O8 397.64

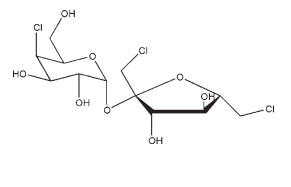
5. Structural Formula

6. Applications

Sucralose is used as a sweetening agent in beverages, foods, and pharmaceutical applications. It has a sweetening power approximately 300–1000 times that of sucrose and has no aftertaste. It has no nutritional value, is noncariogenic, does not promote dental caries, and produces no glycemic response.

7. Description

Sucralose is a white to off-white colored, free-flowing, crystalline powder

8. Pharmacopeial Specifications

See Table II

9. Typical Properties

Acidity/alkalinity pH = 5–6 (10% w/v aqueous solution at 208C) Density (bulk) 0.35 g/cm3 Density (tapped) 0.62 g/cm3 Density (true) 1.63 g/cm3 Melting point 1308C (for anhydrous crystalline form); 36.58C (for pentahydrate). Particle size distribution 90% < 12 mm in size. Partition coefficient log10 P = 0.51 (octanol : water Solubility Freely soluble in ethanol (95%), methanol, and water; slightly soluble in ethyl acetate. Specific rotation [a]D 20 = þ84.08 to þ87.58 (1% w/v aqueous solution); þ68.28 (1.1% w/v solution in ethanol). Viscosity 0.6–3.8 mPa s (0.6–3.8 cP).

10. Stability & Storage

Sucralose is a relatively stable material. In aqueous solution, at highly acidic conditions (pH < 3), and at high temperatures (4358C), it is hydrolyzed to a limited extent, producing 4-chloro-4- deoxygalactose and 1,6-dichloro-1,6-dideoxyfructose. In food products, sucralose remains stable throughout extended storage periods, even at low pH. However, it is most stable at pH 5–6. Sucralose should be stored in a well-closed container in a cool, dry place, at a temperature not exceeding 218C. Sucralose, when heated at elevated temperatures, may break down with the release of carbon dioxide, carbon monoxide, and minor amounts of hydrogen chloride.

12. Method of Manufacture

Sucralose may be prepared by a variety of methods that involve the selective substitution of three sucrose hydroxyl groups by chlorine. Sucralose can also be synthesized by the reaction of sucrose (or an acetate) with thionyl chloride.

13. Safety

Sucralose is generally regarded as a nontoxic and nonirritant material and is approved, in a number of countries, for use in food products. Following oral consumption, sucralose is mainly unabsorbed and is excreted in the feces.(1–3) The WHO has set an acceptable daily intake for sucralose of up to 15 mg/kg body-weight.(4) LD50 (mouse, oral): > 16 g/kg LD50 (rat, oral): > 10 g/kg

14. Handling Precautions

Observe normal precautions appropriate to the circumstances and quantity of material handled

15. Regulatory Status

The FDA, in April 1998, approved sucralose for use as a tabletop sweetener and as an additive in a variety of food products. In the UK, sucralose was fully authorized for use in food products in 2005.(5) It is also accepted for use in many other countries worldwide. Included in the Canadian List of Acceptable Nonmedicinal Ingredients.

16. Related Substances

Sucrose.

17. Comments

The sweetening effect of sucralose is not reduced by heating, and food products containing sucralose may be subjected to hightemperature processes such as pasteurization, sterilization, UHT processing and baking. Sucralose is often blended with maltodextrin or dextrose as bulking agents in its granular form. A specification for sucralose is contained in the Food Chemicals Codex (FCC).(6) The EINECS number for sucralose is 259-952-2. The PubChem Compound ID (CID) for sucralose includes 71485 and 5066234.