Sucrose

Basic Information

Name: Sucrose

CAS No: b-D-fructofuranosyl-a-D-glucopyranoside [57-50-1]

Functional Categories

Coating agent Granulation aid Suspending agent Sweetening agent Tablet and capsule diluent Tablet binder Tablet filler Therapeutic agent Viscosity-increasing agent Confectionery base

1. Nonproprietary Names

BP: Sucrose JP: Sucrose PhEur: Sucrose USP-NF: Sucrose

2. Synonyms

Beet sugar; cane sugar; a-D-glucopyranosyl-b-D-fructofuranoside; refined sugar; saccharose; saccharum; sugar

3. Chemical Name & CAS Registry

b-D-fructofuranosyl-a-D-glucopyranoside [57-50-1]

4. Empirical Formula & Molecular Weight

C12H22O11 342.30

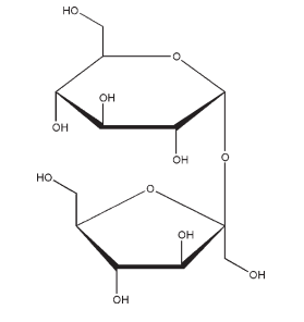
5. Structural Formula

6. Applications

Sucrose is widely used in oral pharmaceutical formulations. Sucrose syrup, containing 50–67% w/w sucrose, is used in tableting as a binding agent for wet granulation. In the powdered form, sucrose serves as a dry binder (2–20% w/w) or as a bulking agent and sweetener in chewable tablets and lozenges.(1–3) Tablets that contain large amounts of sucrose may harden to give poor disintegration. Sucrose syrups are used as tablet-coating agents at concentrations between 50% and 67% w/w. With higher concentrations, partial inversion of sucrose occurs, which makes sugar coating difficult. Sucrose syrups are also widely used as vehicles in oral liquiddosage forms to enhance palatability or to increase viscosity.(4,5) Sucrose has been used as a diluent in freeze-dried protein products.(6,7) Sucrose is also widely used in foods and confectionery, and therapeutically in sugar pastes that are used to promote wound healing.(8,9)

7. Description

Sucrose is a sugar obtained from sugar cane (Saccharum officinarum Linne´ (Fam. Gramineae)), sugar beet (Beta vulgaris Linne´ (Fam. Chenopodiaceae)), and other sources. It contains no added substances. Sucrose occurs as colorless crystals, as crystalline masses or blocks, or as a white crystalline powder; it is odorless and has a sweet taste.

8. Pharmacopeial Specifications

See Table II.

9. Typical Properties

Density (bulk) 0.93 g/cm3 (crystalline sucrose); 0.60 g/cm3 (powdered sucrose). Density (tapped) 1.03 g/cm3 (crystalline sucrose); 0.82 g/cm3 (powdered sucrose). Density (true) 1.6 g/cm3 Dissociation constant pKa = 12.62 Flowability Crystalline sucrose is free flowing, whereas powdered sucrose is a cohesive solid. Melting point 160–1868C (with decomposition) Moisture content Finely divided sucrose is hygroscopic and absorbs up to 1% water.(10) See Figure 1. NIR spectra see Figure 2. Osmolarity A 9.25% w/v aqueous solution is isoosmotic with serum. Particle size distribution Powdered sucrose is a white, irregularsized granular powder. The crystalline material consists of colorless crystalline, roughly cubic granules. See Figures 3 and 4. Refractive index nD 25 = 1.34783 (10% w/v aqueous solution) Solubility see Table III. Specific gravity

10. Stability & Storage

Sucrose has good stability at room temperature and at moderate relative humidity. It absorbs up to 1% moisture, which is released upon heating at 908C. Sucrose caramelizes when heated to temperatures above 1608C. Dilute sucrose solutions are liable to fermentation by microorganisms but resist decomposition at higher concentrations, e.g. above 60% w/w concentration. Aqueous solutions may be sterilized by autoclaving or filtration.When sucrose is used as a base for medicated confectionery, the cooking process, at temperatures rising from 110 to 1458C, causes some inversion to form dextrose and fructose (invert sugar). The fructose imparts stickiness to confectionery but prevents cloudiness due to graining. Inversion is accelerated particularly at temperatures above 1308C and by the presence of acids. The bulk material should be stored in a well-closed container in a cool, dry place.

11. Incompatibilities

Powdered sucrose may be contaminated with traces of heavy metals, which can lead to incompatibility with active ingredients, e.g. ascorbic acid. Sucrose may also be contaminated with sulfite from the refining process. With high sulfite content, color changes can occur in sugar-coated tablets; for certain colors used in sugarcoating the maximum limit for sulfite content, calculated as sulfur, is 1 ppm. In the presence of dilute or concentrated acids, sucrose is hydrolyzed or inverted to dextrose and fructose (invert sugar). Sucrose may attack aluminum closures.(11)

12. Method of Manufacture

15–20% sucrose, and sugar beet, which contains 10–17% sucrose. Juice from these sources is heated to coagulate water-soluble proteins, which are removed by skimming. The resultant solution is then decolorized with an ion-exchange resin or charcoal and concentrated. Upon cooling, sucrose crystallizes out. The remaining solution is concentrated again and yields more sucrose, brown sugar, and molasses.

13. Safety

Sucrose is hydrolyzed in the small intestine by the enzyme sucrase to yield dextrose and fructose, which are then absorbed. When administered intravenously, sucrose is excreted unchanged in the urine. Although sucrose is very widely used in foods and pharmaceutical formulations, sucrose consumption is a cause of concern and should be monitored in patients with diabetes mellitus or other metabolic sugar intolerance.(12) Sucrose is also considered to be more cariogenic than other carbohydrates since it is more easily converted to dental plaque. For this reason, its use in oral pharmaceutical formulations is declining. Although sucrose has been associated with obesity, renal damage, and a number of other diseases, conclusive evidence linking sucrose intake with some diseases could not be established.(13,14) It was, however, recommended that sucrose intake in the diet should be reduced.(14) LD50 (mouse, IP): 14 g/kg(15) LD50 (rat, oral): 29.7 g/kg

14. Handling Precautions

Observe normal precautions appropriate to the circumstances and quantity of material handled. Eye protection and gloves are recommended. In the UK, the workplace exposure limit for sucrose is 10 mg/m3 long-term (8-hour TWA) and 20 mg/m3 short-term.(16)

15. Regulatory Status

GRAS listed. Included in the FDA Inactive Ingredients Database (injections; oral capsules, solutions, syrups, and tablets; topical preparations). Included in nonparenteral and parenteral medicines licensed in the UK. Included in the Canadian List of Acceptable Non-medicinal Ingredients

16. Related Substances

Compressible sugar; confectioner’s sugar; invert sugar; sugar spheres. Invert sugar Empirical formula C6H12O6 Molecular weight 180.16 CAS number [8013-17-0] Comments An equimolecular mixture of dextrose and fructose prepared by the hydrolysis of sucrose with a suitable mineral acid such as hydrochloric acid. Invert sugar may be used as a stabilizing agent to help prevent crystallization of sucrose syrups and graining in confectionery. A 10% aqueous solution is also used in parenteral nutrition.

17. Comments

harmonization by the Pharmacopeial Discussion Group. For further information see the General Information Chapter <1196> in the USP32–NF27, the General Chapter 5.8 in PhEur 6.0, along with the ‘State of Work’ document on the PhEur EDQM website, and also the General Information Chapter 8 in the JP XV. For typical boiling points of sucrose syrups, without inversion of the sugar, see Table V. A specification for sucrose is contained in the Food Chemicals Codex (FCC).(17) The EINECS number for sucrose is 200-334-9. The PubChem Compound ID (CID) for sucrose includes 5988 and 1115.