Polacrilin Potassium

Basic Information

Name: Polacrilin Potassium

CAS No: 2-Methyl-2-propenoic acid polymer with divinylbenzene, potassium salt [39394-76-5]

Functional Categories

Tablet and capsule disintegrant

1. Nonproprietary Names

USP-NF: Polacrilin Potassium

2. Synonyms

Amberlite IRP-88; methacrylic acid polymer with divinylbenzene, potassium salt; polacrilinum kalii.

3. Chemical Name & CAS Registry

2-Methyl-2-propenoic acid polymer with divinylbenzene, potassium salt [39394-76-5]

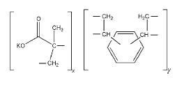
5. Structural Formula

6. Applications

Polacrilin potassium is a cation-exchange resin used in oral pharmaceutical formulations as a tablet disintegrant.(1–3) Concentrations of 2–10% w/w have been used for this purpose, although 2% w/w of polacrilin potassium is usually sufficient. Other polacrilin ion-exchange resins have been used as excipients to stabilize drugs, to mask or modify the taste of drugs, and in the preparation of sustained-release dosage forms(4) and drug carriers. Polacrilin resins are also used in the analysis and manufacture of pharmaceuticals and food products.

7. Description

Polacrilin potassium occurs as a cream-colored, odorless and tasteless, free-flowing powder. Aqueous dispersions have a bitter taste.

8. Pharmacopeial Specifications

See Table I.

9. Typical Properties

Density (bulk) 0.48 g/cm3 for Amberlite IRP-88.(3) Density (tapped) 0.62 g/cm3 for Amberlite IRP-88.(3) Particle size distribution see Figure 1.(3) Solubility Practically insoluble in water and most other liquids, although polacrilin resins swell rapidly when wetted.

10. Stability & Storage

Polacrilin potassium and other polacrilin resins are stable to light, air, and heat up to their maximum operation temperature; see Table II. Excessive heating can cause thermal decomposition of the resins and may yield one or more oxides of carbon, nitrogen, sulfur, and/or amines. Polacrilin resins should be stored in well-closed containers in a cool, dry place.

11. Incompatibilities

Incompatible with strong oxidizing agents, amines, particularly tertiary amines, and some other substances that interact with polacrilin resins.(5)

12. Method of Manufacture

Polacrilin resin (Amberlite IRP-64) is prepared by the copolymerization of methacrylic acid with divinylbenzene (DVB). Polacrilin potassium (Amberlite IRP-88) is then produced by neutralizing this resin with potassium hydroxide. Other resins are similarly produced by copolymerization between styrene and divinylbenzene (Amberlite IRP-69, Amberlite IRP-67, Amberlite IR-120, and Amberlite IRA-400). Phenolicbased polyamine condensates (Amberlite IRP-58) may also be produced. The homogeneity of the resin structure depends on the purity, nature, and properties of the copolymers used as well as the controls and conditions employed during the polymerization reaction. The nature and degree of crosslinking have significant influence on the physicochemical properties of the resin matrix. The functional groups introduced on the matrix confer the property of ion exchange. Depending upon the acidity or basicity of the functional groups, strongly acidic to strongly basic types of ion-exchange resins may be produced.

13. Safety

Polacrilin potassium and other polacrilin resins are used in oral pharmaceutical formulations and are generally regarded as nontoxic and nonirritant materials. However, excessive ingestion of polacrilin resins may disturb the electrolyte balance of the body.

14. Handling Precautions

Observe normal precautions appropriate to the circumstances and quantity of material handled. Polacrilin potassium may be irritating to the eyes; eye protection and gloves are recommended.

15. Regulatory Status

Included in the FDA Inactive Ingredients Database (oral capsules and tablets). Included in non-parenteral medicines licensed in the UK. Included in the Canadian List of Acceptable Non-medicinal Ingredients.

16. Related Substances

Polacrilin. Polacrilin CAS number [54182-62-6] Synonyms Amberlite IRP-64; methacrylic acid polymer with divinylbenzene; 2-methyl-2-propenoic acid polymer with divinylbenzene.

17. Comments

A number of other polacrilin (Amberlite) resins are commercially available that have a variety of industrial and pharmaceutical applications; see Table II.