Polydextrose

Basic Information

Name: Polydextrose

CAS No: Polydextrose [68424-04-4]

Functional Categories

Coating agent Diluent Granulation aid Humectant Tablet and capsule diluent Tablet binder Tablet filler Viscosity-increasing agent

1. Nonproprietary Names

USP-NF: Polydextrose

2. Synonyms

E1200; Litesse; polydextrose A; polydextrose K; STA-Lite.

3. Chemical Name & CAS Registry

Polydextrose [68424-04-4]

4. Empirical Formula & Molecular Weight

(C6H12O6)x 1200–2000 (average)

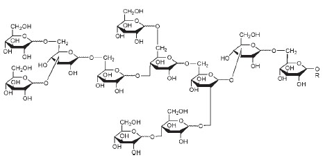
5. Structural Formula

6. Applications

Polydextrose is used in pharmaceutical formulations and food products. In food products it is used as a bulking agent; it also has texturizing and humectant properties. Although polydextrose can be used in a wide range of pharmaceutical formulations, its primary use is in solid-dosage forms. In tableting, polydextrose solutions are used as binders in wetgranulation processes. Polydextrose is also used in the manufacture of directly compressible tableting excipients. Polydextrose solutions may also be used, in conjunction with other materials, as a film and tablet coating agent. Polydextrose acts as a bulking agent in the formulation of ‘sugarfree’ confectionery-type dosage forms. In conjunction with isomalt, lactitol, or maltitol, polydextrose can be used in the manufacture of ‘sugar-free’ hard-boiled candies and acacia lozenges or pastilles as a base for medicated confectionery. The combination of high water solubility and high viscosity of polydextrose facilitates the processing of sugar-free candies of excellent quality. Polydextrose is amorphous and does not crystallize at low temperatures or high concentrations, so it can be used to control the crystallization of polyols and sugars and therefore the structure and texture of the final product.

7. Description

Polydextrose occurs as an odorless, off-white to light tan powder with a bland, slightly sweet to slightly tart taste, dependent upon grade. Polydextrose is also available as a clear, light yellow to colorless liquid (70% dry substance), which is odorless with a slightly sweet taste.

8. Pharmacopeial Specifications

See Table 1.

9. Typical Properties

Acidity/alkalinity pH = 2.5–7.0 (10% aqueous solution) Density (bulk) 0.7–0.8 g/cm3 (dependent upon grade) Heat of solution 8 kcal/g Melting point Polydextrose is an amorphous polymer that does not have a melting range. However, it can undergo a viscosity transition at a temperature as low as 150–1608C. Moisture content 44.0%. At relative humidities above approximately 60%, polydextrose powders absorb significant amounts of moisture; see Section 11. See also Figure 1. Refractive index nD 20= 1.3477 (10% w/v aqueous solution) Solubility Completely miscible in water. Sparingly soluble to insoluble in most organic solvents. Polydextrose has a higher water solubility than most carbohydrates and polyols, allowing the preparation of 80% w/w solutions at 208C. Polydextrose is soluble in ethanol and only partially soluble in glycerin and propylene glycol. Viscosity (dynamic) Polydextrose solutions behave as Newtonian fluids. Polydextrose has a higher viscosity than sucrose or sorbitol at equivalent temperatures. This characteristic enables polydextrose to provide the desirable mouthfeel and textural qualities that are important when formulating syrups and viscous solutions. See Figure 2.

10. Stability & Storage

Polydextrose powder is hygroscopic and absorbs significant amounts of moisture at relative humidities greater than 60%. Under dry storage conditions, and in original sealed packaging, polydextrose powders can be expected to retain stability for at least 3 years. Solution grades have a shorter shelf-life of 3 to 6 months (dependent upon grade) at an ambient temperature of 258C, although this can be extended to 12 months through the use of refrigeration. The bulk material should be stored in a cool, dry place in wellclosed containers.

11. Incompatibilities

Incompatible with oxidizing agents, strong acids, and alkalis, forming a brown coloration and depolymerizing.

12. Method of Manufacture

Polydextrose is prepared by the bulk melt polycondensation of glucose and sorbitol in conjunction with small amounts of foodgrade acid in vacuo. Further purification steps are then involved to generate a range of products with improved organoleptic properties by the removal of acidity and flavor notes generated during the condensation reaction. A partially hydrogenated version of polydextrose, which is suited for high inclusion rates, for sugar-free applications, and where Maillard reactions are not required, is also available.(1)

13. Safety

Polydextrose is used in oral pharmaceutical applications, food products, and confectionery, and is generally regarded as a relatively nontoxic and nonirritant material.(2,3) However, excessive consumption of non-digestible carbohydrates, such as polydextrose, can lead to gastrointestinal distress. After evaluating a series of clinical studies, the Joint FAO/WHO Expert Committee on Food Additives (JECFA) and the European Commission Scientific Committee for Food (EC/SCF) concluded that polydextrose was better tolerated than other digestible carbohydrates such as polyols. The committee concluded that polydextrose has a mean laxative threshold of approximately 90 g/day (1.3 g/kg body-weight) or 50 g as a single dose.(4) See also Section 18. LD50 (mouse, oral): >30 g/kg LD50 (rat, oral): >15 g/kg

14. Handling Precautions

Observe normal precautions appropriate to the circumstances and quantity of material handled. Polydextrose may be irritant to the eyes. Eye protection and gloves are recommended. Conventional dust-control practices should be employed.

15. Regulatory Status

Approved as a food additive in over 60 countries worldwide, including Europe and the USA. Included in the FDA Inactive Ingredients Database (oral tablets). Included in non-parenteral medicines licensed in the UK. Included in the Canadian List of Acceptable Non-medicinal Ingredients.

16. Related Substances

Dextrose.

17. Comments

Polydextrose is a randomly bonded polymer prepared by the condensation of a melt that consists of approximately 90% w/w Dglucose, 10% w/w sorbitol, and 1% w/w citric acid or 0.1% w/w phosphoric acid. The 1,6 glycosidic linkage predominates in the polymer, but all other possible bonds are present. The product contains small quantities of free glucose, sorbitol, and D-anhydroglucoses (levoglucosan), with traces of citric or phosphoric acid. Polydextrose may be partially reduced by transition-metal catalytic hydrogenation in aqueous solution. It may be neutralized with any food-grade base and/or decolorized and deionized for further purification. Polydextrose is partially fermented by intestinal microorganisms to produce volatile fatty acids. The volatile fatty acids are absorbed in the large intestine. Because of the inefficient way the human body derives energy from volatile fatty acids, polydextrose contributes only one-quarter of the energy of the equivalent weight of sugar, i.e. 4 kJ/g (1 kcal/g).(4–6) When consumed, polydextrose has a negligible effect on blood glucose levels. Polydextrose is metabolized independently of insulin and contributes only one quarter of the energy of normal carbohydrate. A specification for polydextrose is contained in the Food Chemicals Codex (FCC).(7)