Poly(DL-Lactic Acid)

Basic Information

Name: Poly(DL-Lactic Acid)

CAS No: Poly[oxy(1-methyl-2-oxo-1,2-ethanediyl)] [26023-30-3] or [26680-10-4]

Functional Categories

Biodegradable material Coating agent Controlled-release agent

1. Nonproprietary Names

None adopted.

2. Synonyms

DL-Dilactide homopolymer; DL-dilactide polymer; DL-PLA; DL-3,6- dimethyl-1,4-dioxane-2,5-dione homopolymer; DL-PLA; lactic acid homopolymer; D,L-lactic acid homopolymer; D,L-lactic acid polymer; D-lactic acid-L copolymer; DL-lactide polymer; D-lactide-Llactide copolymer; PDLLA; poly (RS)-2-hydroxypropanoic acid; D,L-polylactic acid; poly(dl-lactic acid); polylactide; poly(DL-lactide); poly-DL-lactide; RS-propanoic acid, 2-hydroxy-, homopolymer.

3. Chemical Name & CAS Registry

Poly[oxy(1-methyl-2-oxo-1,2-ethanediyl)] [26023-30-3] or [26680-10-4]

4. Empirical Formula & Molecular Weight

(C3H4O2)n The molecular weight of this polymer varies according to the intended application.

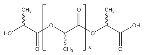
5. Structural Formula

6. Applications

Poly(DL-lactic acid) is used in drug delivery systems in implants, injections, and oral solid dispersions. It is also used as a coating agent.

7. Description

Poly(DL-lactic acid) is a glassy material, occurring as white to golden-yellow pellets or granules.

8. Pharmacopeial Specifications

9. Typical Properties

Thermal and mechanical properties of poly(DL-lactic acid) are directly affected by the molecular weight and the composition of the polymer.(1–3) Density 1.21–1.28 g/cm3 Elongation (%) 2.5–7.0 (according to molecular weight) Glass transition temperature 40–698C (according to the molecular weight and the percentage of DL-lactic acid monomers) Inherent viscosity see Figure 1. Melting point Amorphous (some sources quote a melting point in the range 165–1808C) Solubility Soluble in dichloromethane, tetrahydrofuran, ethyl acetate, chloroform, hexafluoroisopropanol, and acetone. Insoluble in water. Tensile strength 35–85MPa (according to molecular weight)

10. Stability & Storage

Poly(DL-lactic acid) is stable under dry conditions. However, it typically biodegrades over a period of 10–15 months according to the molecular weight. Increasing moisture and temperature enhances biodegradation; the onset of degradation in water at 258C is 6 months.(4) In contrast to many other biodegradable polymers, poly(DL-lactic acid) degrades through a two-step mechanism. The primary degradation step involves the hydrolysis of the ester bonds independently of microbial activity to produce a low-molecular-weight polymer. When the molecular weight drops below 10 000, microorganisms digest the polymer into carbon dioxide and water.(4) Poly(DL-lactic acid) is more stable than poly(L-lactic acid) or poly(D-lactic acid) alone.(5) Poly(DL-lactic acid) should be stored in a dry inert environment at a temperature of 158C to 208C.

11. Incompatibilities

Incompatible with strong acids or alkaline materials.

12. Method of Manufacture

Lactic acid is a chiral molecule and has two optically active forms: Llactic acid and D-lactic acid. Poly(DL-lactic acid) is produced from the racemic mixture of lactic acid. Lactic acid is produced either from ethylene (petrochemical pathway) or by bacterial fermentation of D-glucose derived from food stocks. The former pathway involves an oxidation step followed by treatment with hydrogen cyanide and produces only racemic DL-lactic acid. In contrast, lactic acid produced by fermentation occurs mainly as L-lactic acid. Lowmolecular- weight poly-DL-(lactic acid) (500–10 000 Da) is produced directly from lactic acid by condensation. Higher-molecular-weight product is produced by one of two major pathways. The first involves a depolymerization of low-molecular-weight polymer into the cyclic dimer form (lactide) followed by ring-opening polymerization. Alternatively, it can be produced by a direct condensation using azeotropic distillation.

13. Safety

Poly(DL-lactic acid) degrades to produce lactic acid, which is considered a well-tolerated nontoxic material. Several in vitro and in vivo studies demonstrated that poly(lactic acid) in general (including poly(DL-lactic acid)) is well tolerated and does not induce a significant immune response.(6–10) However, some studies have illustrated signs of a mild immune response.(11,12) The FDA has also reported some rare cases of inflammatory responses in patients treated with cosmetic poly(DL-lactic acid) injections.

14. Handling Precautions

Observe normal precautions appropriate to the circumstances and quantity of the material handled. Eye and skin protection are recommended. Handle under dry, inert conditions.

15. Regulatory Status

Included in the FDA Inactive Ingredients Database (IM, powder, for injection, suspension, and lyophilization). Poly(DL-lactic acid) is considered as ‘not hazardous’ according to the European Directive 67/548/EEC. Included in parenteral preparations (prolongedrelease powder for suspension for subcutaneous or intramuscular injection) licensed in the UK.

16. Related Substances

Aliphatic polyesters; lactic acid.

17. Comments

Poly(DL-lactic acid) has various IUPAC names, CAS registry numbers, empirical and structural formulae, which is due to some sources quoting the reactants (either lactic acid or lactide) as the repeating unit. Owing to its high brittleness, poly(DL-lactic acid) is rarely used alone. It is often mixed and copolymerized with other polymers (poly(L-lactide-co-glycolide) (PLGA),(13) poly(ethylene oxide) (PEO),(14) poly(ethylene glycol) (PEG),(15,16) poly(vinylpyrrolidone) (PVP),(15) and poly(vinyl alcohol) (PVA)(17,18)) or with a plasticizer.( 19) The method of sterilization can affect the mechanical properties of the polymer. Poly(DL-lactic acid) is a biodegradable thermoplastic polymer. It is used as a component of medical devices such as surgical dressings, sutures, stents, scaffolds for tissue engineering, and dental and bone fixation. It can also be used in a variety of applications ranging from biodegradable carrier bags, goods packaging, sheets, plastic containers, disposable garments, feminine hygiene products, and biodegradable tissues.