Polymethacrylates

Basic Information

Name: Polymethacrylates

CAS No: See Table I.

Functional Categories

Film-forming agent Tablet binder Tablet diluent

1. Nonproprietary Names

BP: Ammonio Methacrylate Copolymer (Type A) Ammonio Methacrylate Copolymer (Type B) Basic Butylated Methacrylate Copolymer Methacrylic Acid–Ethyl Acrylate Copolymer (1 : 1) Methacrylic Acid–Ethyl Acrylate Copolymer (1 : 1) Dispersion 30 per cent Methacrylic Acid–Methyl Methacrylate Copolymer (1 : 1) Methacrylic Acid–Methyl Methacrylate Copolymer (1 : 2) Polyacrylate Dispersion (30 per cent) PhEur: Ammonio Methacrylate Copolymer (Type A) Ammonio Methacrylate Copolymer (Type B) Basic Butylated Methacrylate Copolymer Methacrylic Acid–Ethyl Acrylate Copolymer (1 : 1) Methacrylic Acid–Ethyl Acrylate Copolymer (1 : 1) Dispersion 30 per cent Methacrylic Acid–Methyl Methacrylate Copolymer (1 : 1) Methacrylic Acid–Methyl Methacrylate Copolymer (1 : 2) Polyacrylate Dispersion 30 per centUSP-NF: Amino Methacrylate Copolymer Ammonio Methacrylate Copolymer Ammonio Methacrylate Copolymer Dispersion Ethyl Acrylate and Methyl Methacrylate Copolymer Dispersion Methacrylic Acid Copolymer Methacrylic Acid Copolymer Dispersion Note that six separate monographs applicable to polymethacrylates are contained in the USP32–NF27. Several different types of material are defined in the same monographs. The PhEur (6.0, 6.2, and 6.3) contains eight separate monographs applicable to polymethacrylates.

2. Synonyms

Acryl-EZE; acidi methacrylici et ethylis acrylatis polymerisatum; acidi methacrylici et methylis methacrylatis polymerisatum; ammonio methacrylatis copolymerum; copolymerum methacrylatis butylati basicum; Eastacryl; Eudragit; Kollicoat MAE; polyacrylatis dispersio 30 per centum; polymeric methacrylates.

3. Chemical Name & CAS Registry

See Table I.

4. Empirical Formula & Molecular Weight

The PhEur 6.2 describes methacrylic acid–ethyl acrylate copolymer (1 : 1) as a copolymer of methacrylic acid and ethyl acrylate having a mean relative molecular mass of about 250 000. The ratio of carboxylic groups to ester groups is about 1 : 1. It may contain suitable surfactants such as sodium dodecyl sulfate or polysorbate 80. An aqueous 30% w/v dispersion of this material is also defined in a separate monograph. Methacrylic acid–methyl methacrylate copolymer (1 : 1) is described in the PhEur 6.0 as a copolymer of methacrylic acid and methyl methacrylate having a mean relative molecular mass of about 135 000. The ratio of carboxylic acid to ester groups is about 1 : 1. A further monograph in the PhEur 6.0 describes methacrylic acid–methyl methacrylate copolymer (1 : 2), where the ratio of carboxylic acid to ester groups is about 1 : 2. The PhEur 6.0 describes basic butylated methyacrylate copolymer as a copolymer of (2-dimethylaminoethyl) methacrylate, butyl methyacrylate, and methyl methacrylate having a mean relative molecular mass of about 150 000. The ratio of (2-dimethylaminoethyl) methacrylate groups to butyl methyacrylate and methyl methacrylate groups is about 2 : 1 : 1. The PhEur 6.0 describes ammonio methyacrylate copolymer as a poly(ethyl propenoate-co-methyl 2- methylpropenoate-co-2-(trimethylammonio)ethyl 2-methylpropenoate) chloride having a mean relative molecular mass of about 150 000. The ratio of ethyl propenoate to methyl 2-methylpropenoate to 2-(trimethylammonio)ethyl 2-methylpropenoate is about 1 : 2 : 0.2 for Type A and 1 : 2 : 0.1 for Type B. Polyacrylate dispersion (30 per cent) is described in the PhEur 6.3 as a dispersion in water of a copolymer of ethyl acrylate and methyl methacrylate having a mean relative molecular mass of about 800 000. It may contain a suitable emulsifier. The USP32–NF27 describes methacrylic acid copolymer as a fully polymerized copolymer of methacrylic acid and an acrylic or methacrylic ester. Three types of copolymers, namely Type A, Type B, and Type C, are defined in the monograph. They vary in their methacrylic acid content and solution viscosity. Type C may contain suitable surface-active agents. Ammonio methacrylate copolymers Type A and Type B, consisting of fully polymerized copolymers of acrylic and methacrylic acid esters with a low content of quaternary ammonium groups, are also described in the USP32–NF27. They vary in their ammonio methacrylate units. The USP32–NF27 also describes amino methacrylate copolymer as a fully polymerized copolymer of 2-dimethylaminoethyl methacrylate, butyl methacrylate and methyl methacrylate. See Sections 9 and 18. Further monographs for aqueous dispersions of Type C methacrylic acid copolymer, ammonio methacrylate copolymer, and also ethyl acrylate and methyl methacrylate copolymer are also defined

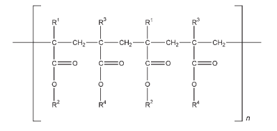
5. Structural Formula

For Eudragit E: R1 , R3 = CH3 R2 = CH2CH2N(CH3)2 R4 = CH3, C4H9 For Eudragit L and Eudragit S: R1 , R3 = CH3 R2 = H R4 = CH3 For Eudragit FS: R1 = H R2 = H, CH3 R3 = CH3 R4 = CH3 For Eudragit RL and Eudragit RS: R1 = H, CH3 R2 = CH3, C2H5 R3 = CH3 R4 = CH2CH2N(CH3)3 þClFor Eudragit NE 30 D and Eudragit NE 40 D: R1 , R3 = H, CH3 R2 , R4 = CH3, C2H5 For Acryl-EZE and Acryl-EZE MP; Eudragit L 30 D-55 and Eudragit L 100-55, Eastacryl 30 D, Kollicoat MAE 100 P, and Kollicoat MAE 30 DP: R1 , R3 = H, CH3 R2 = H R4 = CH3, C2H5

6. Applications

Polymethacrylates are primarily used in oral capsule and tablet formulations as film-coating agents.(1–21) Depending on the type of polymer used, films of different solubility characteristics can be produced; see Table II. Eudragit E is used as a plain or insulating film former. It is soluble in gastric fluid below pH 5. In contrast, Eudragit L, S and FS types are used as enteric coating agents because they are resistant to gastric fluid. Different types of enteric coatings are soluble at different pH values: e.g. Eudragit L is soluble at pH > 6 whereas Eudragit S and FS are soluble at pH > 7. The S grade is generally used for coating tablets, while the flexible FS 30 D dispersion is preferred for coating particles. Eudragit RL, RS, NE 30 D, NE 40 D, and NM 30 D are used to form water-insoluble film coats for sustained-release products. Eudragit RL films are more permeable than those of Eudragit RS, and films of varying permeability can be obtained by mixing the two types together. The neutral Eudragit NE/NM grades do not have functional ionic groups. They swell in aqueous media independently of pH without dissolving. Eudragit L 30 D-55 is used as an enteric coating film former for solid-dosage forms. The coating is resistant to gastric juice but dissolves readily at above pH 5.5. Eudragit L 100-55 is an alternative to Eudragit L 30 D-55. It is commercially available as a redispersible powder. Kollicoat MAE 100 P, Acryl-EZE and Acryl-EZE MP are also commercially available as redispersible powder forms, which are designed for enteric coating of tablets or beads. Eastacryl 30 D and Kollicoat MAE 30 DP are aqueous dispersions of methacrylic acid–ethyl acrylate copolymers. They are also used as enteric coatings for solid-dosage forms. Polymethacrylates are also used as binders in both aqueous and organic wet-granulation processes. Larger quantities (5–20%) of dry polymer are used to control the release of an active substance from a tablet matrix. Solid polymers may be used in directcompression processes in quantities of 10–50%. Polymethacrylate polymers may additionally be used to form the matrix layers of transdermal delivery systems and have also been used to prepare novel gel formulations for rectal administration.(22

7. Description

Polymethacrylates are synthetic cationic and anionic polymers of dimethylaminoethyl methacrylates, methacrylic acid, and methacrylic acid esters in varying ratios. Several different types are commercially available and may be obtained as the dry powder, as an aqueous dispersion, or as an organic solution. A (60 : 40) mixture of acetone and propan-2-ol is most commonly used as the organic solvent. See Tables I and III. Eudragit E is a cationic polymer based on dimethylaminoethyl methacrylate and other neutral methacrylic acid esters. It is soluble in gastric fluid as well as in weakly acidic buffer solutions (up to pH  5). Eudragit E is available as a 12.5% ready-to-use solution in propan-2-ol–acetone (60 : 40). It is light yellow in color with the characteristic odor of the solvents. Solvent-free granules contain 98% dried weight content of Eudragit E. Eudragit E PO is a white free-flowing powder with at least 95% of dry polymer. Eudragit L and S, also referred to as methacrylic acid copolymers in the USP32–NF27 monograph, are anionic copolymerization products of methacrylic acid and methyl methacrylate. The ratio of free carboxyl groups to the ester is approximately 1 : 1 in Eudragit L (Type A) and approximately 1 : 2 in Eudragit S (Type B). Both polymers are readily soluble in neutral to weakly alkaline conditions (pH 6–7) and form salts with alkalis, thus affording film coats that are resistant to gastric media but soluble in intestinal fluid. They are available as a 12.5% solution in propan-2-ol without plasticizer (Eudragit L 12.5 and S 12.5); and as a 12.5% ready-to-use solution in propan-2-ol with 1.25% dibutyl phthalate as plasticizer (Eudragit L 12.5 P and S 12.5 P). Solutions are colorless, with the characteristic odor of the solvent. Eudragit L - 100 and Eudragit S-100 are white free-flowing powders with at least 95% of dry polymers. Eudragit FS 30 D is the aqueous dispersion of an anionic copolymer based on methyl acrylate, methyl methacrylate, and methacrylic acid. The ratio of free carboxyl groups to ester groups is approximately 1 : 10. It is a highly flexible polymer, designed for use in enteric-coated solid-dosage forms, and dissolves in aqueous systems at pH >7. Eudragit RL and Eudragit RS, also referred to as ammonio methacrylate copolymers in the USP32–NF27 monograph, are copolymers synthesized from acrylic acid and methacrylic acid esters, with Eudragit RL (Type A) having 10% of functional.

8. Pharmacopeial Specifications

Specifications for polymethacrylates from PhEur 6.0, 6.2, and 6.3 are shown in Table IV, and those from the USP32–NF27 in Table V.

9. Typical Properties

Acid value 300–330 for Eudragit L 12.5, L 12.5 P, L 100, L 30 D-55, L 100-55, Eastacryl 30 D, Kollicoat MAE 100 P, and Kollicoat MAE 30 DP; 180–200 for Eudragit S 12.5, S 12.5 P, and S 100. Alkali value 162–198 for Eudragit E 12.5 and E 100; 23.9–32.3 for Eudragit RL 12.5, RL 100, and RL PO; 27.5–31.7 for Eudragit RL 30 D; 12.1–18.3 for Eudragit RS 12.5, RS 100, and RS PO; 16.5–22.3 for Eudragit RS 30 D. Density (bulk) 0.390 g/cm3 Density (tapped) 0.424 g/cm3 Density (true) 0.811–0.821 g/cm3 for Eudragit E; 0.83–0.85 g/cm3 for Eudragit L, S 12.5 and 12.5 P; 1.058–1.068 g/cm3 for Eudragit FS 30 D; 0.831–0.852 g/cm3 for Eudragit L, S 100; 1.062–1.072 g/cm3 for Eudragit L 30 D-55; 0.821–0.841 g/cm3 for Eudragit L 100-55; 0.816–0.836 g/cm3 for Eudragit RL and RS 12.5; 0.816–0.836 g/cm3 for Eudragit RL and RS PO; 1.047–1.057 g/cm3 for Eudragit RL and RS 30 D; 1.037–1.047 g/cm3 for Eudragit NE 30 D; 1.062–1.072 g/cm3 for Eastacryl 30 D; 1.062–1.072 g/cm3 for Kollicoat MAE 100 P and Kollicoat MAE 30 DP. NIR spectra see Figures 1, 2, 3, 4, 5, 6, and 7. Refractive index nD 20 = 1.38–1.385 for Eudragit E; nD 20 = 1.39–1.395 for Eudragit L and S; nD 20 = 1.387–1.392 for Eudragit L 100-55; nD 20 = 1.38–1.385 for Eudragit RL and RS. Solubility see Table III. Viscosity (dynamic) 3–12 mPa s for Eudragit E; 450 mPa s for Eudragit NE 30 D; 50–200 mPa s for Eudragit L and S; 420 mPa s for Eudragit FS 30 D; 415 mPa s for Eudragit L 30 D-55; 100–200 mPa s for Eudragit L 100-55; 415 mPa s for Eudragit RL and RS; 4200 mPa s for Eudragit RL and RS 30 D; 415 mPa s for Kollicoat MAE 100 P and Kollicoat MAE 30 DP; 145 mPa s for Eastacryl 30D.

10. Stability & Storage

Dry powder polymer forms are stable at temperatures less than 308C. Above this temperature, powders tend to form clumps, although this does not affect the quality of the substance and the clumps can be readily broken up. Dry powders are stable for at least 3 years if stored in a tightly closed container at less than 308C. Dispersions are sensitive to extreme temperatures and phase separation occurs below 08C. Dispersions should therefore be stored at temperatures between 5 and 258C and are stable for at least 18 months after shipping from the manufacturer’s warehouse if stored in a tightly closed container at the above conditions.

11. Incompatibilities

Incompatibilities occur with certain polymethacrylate dispersions depending upon the ionic and physical properties of the polymer and solvent. For example, coagulation may be caused by soluble electrolytes, pH changes, some organic solvents, and extremes of temperature; see Table II. For example, dispersions of Eudragit L 30 D, RL 30 D, L 100-55, and RS 30 D are incompatible with magnesium stearate. Eastacryl 30 D, Kollicoat MAE 100 P, and Kollicoat MAE 30 DP are also incompatible with magnesium stearate. Interactions between polymethacrylates and some drugs can occur, although solid polymethacrylates and organic solutions are generally more compatible than aqueous dispersion

12. Method of Manufacture

Prepared by the polymerization of acrylic and methacrylic acids or their esters, e.g. butyl ester or dimethylaminoethyl ester.

13. Safety

Polymethacrylate copolymers are widely used as film-coating materials in oral pharmaceutical formulations. They are also used in topical formulations and are generally regarded as nontoxic and nonirritant materials. Based on relevant chronic oral toxicity studies in rats and conventionally calculated with a safety factor of 100, a daily intake of 2–200 mg/kg body-weight depending on the grade of Eudragit may be regarded as essentially safe in humans.

14. Handling Precautions

Observe normal precautions appropriate to the circumstances and quantity of material handled. Additional measures should be taken when handling organic solutions of polymethacrylates. Eye protection, gloves, and a dust mask or respirator are recommended. Polymethacrylates should be handled in a well-ventilated environment and measures should be taken to prevent dust formation. Acute and chronic adverse effects have been observed in workers handling the related substances methyl methacrylate and poly- (methyl methacrylate) (PMMA).(23) In the UK, the workplace exposure limit for methyl methacrylate has been set at 208 mg/m3 (50 ppm) long-term (8-hour TWA), and 416 mg/m3 (100 ppm) short-term.(24)

15. Regulatory Status

Included in the FDA Inactive Ingredients Database (oral capsules and tablets). Included in nonparenteral medicines licensed in the UK. Included in the Canadian List of Acceptable Non-medicinal Ingredients.

16. Related Substances

Methyl methacrylate; poly(methyl methacrylate). Methyl methacrylate Empirical formula C5H8O2 Molecular weight 100.13 CAS number [80-62-6] Synonyms Methacrylic acid, methyl ester; methyl 2-methacrylate; methyl 2-methylpropenoate; MME. Safety LD50 (dog, SC): 4.5 g/kg LD50 (mouse, IP): 1 g/kg LD50 (mouse, oral): 5.2 g/kg LD50 (mouse, SC): 6.3 g/kg LD50 (rat, IP): 1.33 g/kg LD50 (rat, SC): 7.5 g/kg Comments Methyl methacrylate forms the basis of acrylic bone cements used in orthopedic surgery. Poly(methyl methacrylate) Empirical formula (C5H8O2)n Synonyms Methyl methacrylate polymer; PMMA. Comments Poly(methyl methacrylate) has been used as a material for intraocular lenses, for denture bases, and as a cement for dental prostheses

17. Comments

A number of different polymethacrylates are commercially available that have different applications and properties; see Table II. For spray coating, polymer solutions and dispersions should be diluted with suitable solvents. Some products need the addition of a plasticizer such as dibutyl sebacate, dibutyl phthalate, glyceryl triacetate, or polyethylene glycol. Different types of plasticizer may be mixed to optimize the polymer properties for special requirements. The Japanese Pharmaceutical Excipients (JPE) 2004 includes specifications for aminoalkyl methacrylate copolymer RS, aminoalkyl methacrylate copolymer E, dried methacrylic acid copolymer LD, ethyl acrylate and methyl methacrylate copolymer dispersion, methacrylic acid copolymer L, methacrylic acid copolymer S, and methacrylic acid copolymer LD