Ammonium Alginate

Basic Information

Name: Ammonium Alginate

CAS No: Ammonium alginate [9005-34-9]

Functional Categories

Diluent Emulsifying agent Film-forming agent Humectant Stabilizing agent Thickening agent

1. Nonproprietary Names

None adopted.

2. Synonyms

Alginic acid, ammonium salt; ammonium polymannuronate; E404; Keltose.

3. Chemical Name & CAS Registry

Ammonium alginate [9005-34-9]

4. Empirical Formula & Molecular Weight

(C6H11NO6)n 193.16 (calculated) 217 (actual, average) Ammonium alginate is the ammonium salt of alginic acid.

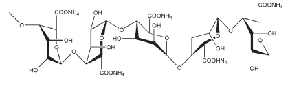
5. Structural Formula

The number and sequence of the mannuronate and glucuronate residues shown above vary in the naturally occurring alginate. The associated water molecules are not shown.

6. Applications

Ammonium alginate is widely used in foods as a stabilizer, thickener and emulsifier. It is also used in pharmaceutical preparations as a color-diluent, emulsifier, film-former, and humectant.

7. Description

Ammonium alginate occurs as white to yellowish brown filamentous, grainy, granular, or powdered forms.

8. Pharmacopeial Specifications

See Section 18.

9. Typical Properties

Moisture content Not more than 15% at 1058C for 4 hours. Solubility Dissolves slowly in water to form a viscous solution; insoluble in ethanol and in ether.

10. Stability & Storage

Ammonium alginate is a hygroscopic material, although it is stable if stored at low relative humidities and cool temperatures.

11. Incompatibilities

Incompatible with oxidizing agents and strong acids and alkalis.

12. Method of Manufacture

13. Safety

Ammonium alginate is widely used in cosmetics and food products, and also in pharmaceutical formulations such as tablets. It is generally regarded as a nontoxic and nonirritant material, although excessive oral consumption may be harmful.

14. Handling Precautions

Observe normal precautions appropriate to the circumstances and quantity of the material handled. Eye protection, gloves, and a dust respirator are recommended.

15. Regulatory Status

GRAS listed. Accepted in Europe for use as a food additive. Included in the FDA Inactive Ingredients Database (oral, tablets).

16. Related Substances

Alginic acid; calcium alginate; potassium alginate; propylene glycol alginate; sodium alginate.

17. Comments

Alginates are commonly used in wound dressings.(1) Chitosan and alginates have been used together to produce sponges for use as wound dressings, or matrices for tissue engineering.(2) Alginate microspheres have been produced by internal gelation using emulsification methods.(3) Although not included in any pharmacopeias, a specification for ammonium alginate is contained in the Food Chemicals Codex (FCC), see Table I.