Dimethicone

Basic Information

Name: Dimethicone

CAS No: a-(Trimethylsilyl)-o-methylpoly [oxy (dimethylsilylene)] [9006-65-9]

Functional Categories

Antifoaming agent Emollient Water-repellent agent

1. Nonproprietary Names

BP: Dimeticone PhEur: Dimeticone USP-NF: Dimethicone

2. Synonyms

ABIL; dimethylpolysiloxane; dimethylsilicone fluid; dimethylsiloxane; dimeticonum; Dow Corning Q7-9120; E900; methyl polysiloxane; poly(dimethylsiloxane); Sentry

3. Chemical Name & CAS Registry

a-(Trimethylsilyl)-o-methylpoly [oxy (dimethylsilylene)] [9006-65-9]

4. Empirical Formula & Molecular Weight

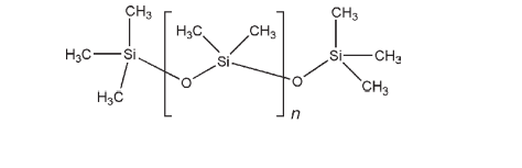
The PhEur 6.2 describes dimethicone as a polydimethylsiloxane obtained by hydrolysis and polycondensation of dichlorodimethylsilane and chlorotrimethylsilane. The degree of polymerization (n = 20–400) is such that materials with kinematic viscosities nominally 20–1300 mm2 /s (20–1300 cSt) are produced. Dimethicones with a nominal viscosity of 50 mm2 /s (50 cSt) or lower are intended for external use only. The USP32–NF27 describes dimethicone as a mixture of fully methylated linear siloxane polymers containing repeating units of the formula [–(CH3)2SiO–]n stabilized with trimethylsiloxy endblocking units of the formula [(CH3)3SiO–], where n has an average value such that the corresponding nominal viscosity is in a discrete range 20–30 000 mm2 /s (20–30 000 cSt).

5. Structural Formula

6. Applications

Dimethicones of various viscosities are widely used in cosmetic and pharmaceutical formulations. In topical oil-in-water emulsions dimethicone is added to the oil phase as an antifoaming agent. Dimethicone is hydrophobic and is also widely used in topical barrier preparations. Therapeutically, dimethicone may be used with simethicone in oral pharmaceutical formulations used in the treatment of flatulence. Dimethicone is also used to form a waterrepellent film on glass containers.

7. Description

Dimethicones are clear, colorless liquids available in various viscosities

8. Pharmacopeial Specifications

See Table II.

9. Typical Properties

Acid value <0.01 Density 0.94–0.98 g/cm3 at 258C Refractive index n D 25 = 1.401–1.405 Solubility Miscible with ethyl acetate, methyl ethyl ketone, mineral oil, ether, chloroform, and toluene; soluble in isopropyl myristate; very slightly soluble in ethanol (95%); practically insoluble in glycerin, propylene glycol, and water. Surface tension 20.5–21.2 mN/m at 258C

10. Stability & Storage

Dimethicones should be stored in an airtight container in a cool, dry, place; they are stable to heat and are resistant to most chemical substances although they are affected by strong acids. Thin films of dimethicone may be sterilized by dry heat for at least 2 hours at 1608C. Sterilization of large quantities of dimethicone by steam autoclaving is not recommended since excess water diffuses into the fluid causing it to become hazy. However, thin films may be sterilized by this method. Gamma irradiation may also be used to sterilize dimethicone. Gamma irradiation can, however, cause crosslinking with a consequent increase in the viscosity of fluids.

11. Incompatibilities

12. Method of Manufacture

Dimethicone is a poly(dimethylsiloxane) obtained by hydrolysis and polycondensation of dichlorodimethylsilane and chlorotrimethyl silane. The hydrolysis products contain active silanol groups through which condensation polymerization proceeds. By varying the proportions of chlorotrimethylsilane, which acts as a chain terminator, silicones of varying molecular weight may be prepared. Different grades of dimethicone are produced that may be distinguished by a number placed after the name indicating the nominal viscosity. For example, ABIL 20 (Evonik Goldschmidt UK Ltd) has a nominal kinematic viscosity of 18–22 mm2 /s (18–22 cSt)

13. Safety

Dimethicone is generally regarded as a relatively nontoxic and nonirritant material although it can cause temporary irritation to the eyes. In pharmaceutical formulations it may be used in oral and topical preparations. Dimethicones are also used extensively in cosmetic formulations and in certain food applications. The WHO has set a tentative estimated acceptable daily intake of dimethicone with a relative molecular mass in the range of 200–300 at up to 1.5 mg/kg body-weight.(1) Injection of silicones into tissues may cause granulomatous reactions. Accidental intravascular injection has been associated with fatalities. LD50 (mouse, oral): >20 g/kg

14. Handling Precautions

Observe normal precautions appropriate to the circumstances and quantity of material handled. Dimethicone is flammable and should not be exposed to naked flames or heat.

15. Regulatory Status

Accepted for use as a food additive in Europe. Included in the FDA Inactive Ingredients Database (oral capsules and tablets, topical creams, emulsions, lotions, and transdermal preparations). Included in nonparenteral medicines licensed in the UK. Included in the Canadian List of Acceptable Non-medicinal Ingredients.

16. Related Substances

Cyclomethicone; simethicone.

17. Comments

The PubChem Compound ID (CID) for dimethicone includes 24764 and 589984.