Castor Oil, Hydrogenated

Basic Information

Name: Castor Oil, Hydrogenated

CAS No: Glyceryl-tri-(12-hydroxystearate),[8001-78-3]

Functional Categories

Extended-release agent Stiffening agent Tablet and capsule lubricant

1. Nonproprietary Names

BP: Hydrogenated Castor Oil PhEur: Castor Oil, Hydrogenated USP-NF: Hydrogenated Castor Oil

2. Synonyms

Castorwax; Castorwax MP 70; Castorwax MP 80; Croduret; Cutina HR; Fancol; ricini oleum hydrogenatum.

3. Chemical Name & CAS Registry

Glyceryl-tri-(12-hydroxystearate),[8001-78-3]

4. Empirical Formula & Molecular Weight

C57O9H110 939.50 The USP32–NF27 describes hydrogenated castor oil as the refined, bleached, hydrogenated, and deodorized castor oil, consisting mainly of the triglyceride of hydroxystearic acid

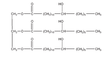
5. Structural Formula

6. Applications

Hydrogenated castor oil is a hard wax with a high melting point used in oral and topical pharmaceutical formulations; see Table I. In topical formulations, hydrogenated castor oil is used to provide stiffness to creams and emulsions.(1) In oral formulations, hydrogenated castor oil is used to prepare sustained-release tablet and capsule preparations;(2,3) the hydrogenated castor oil may be used as a coat or to form a solid matrix. Hydrogenated castor oil is additionally used to lubricate the die walls of tablet presses;(4,5) and is similarly used as a lubricant in food processing. Hydrogenated castor oil is also used in cosmetics.

7. Description

Hydrogenated castor oil occurs as a fine, almost white or pale yellow powder or flakes. The PhEur 6.0 describes hydrogenated castor oil as the oil obtained by hydrogenation of virgin castor oil. It consists mainly of the triglyceride of 12-hydroxystearic acid.

8. Pharmacopeial Specifications

See Table II.

9. Typical Properties

Acid value 45 Density 0.98–1.10 g/cm3 Flash point 3168C (open cup) Moisture content 40.1% Particle size distribution 97.7% 51000 mm in size for flakes. Solubility Practically insoluble in water; soluble in acetone, chloroform, and methylene chloride

10. Stability & Storage

Hydrogenated castor oil is stable at temperatures up to 1508C. Clear, stable, chloroform solutions containing up to 15% w/v of hydrogenated castor oil may be produced. Hydrogenated castor oil may also be dissolved at temperatures greater than 908C in polar solvents and mixtures of aromatic and polar solvents, although the hydrogenated castor oil precipitates out on cooling below 908C. Hydrogenated castor oil should be stored in a well-closed container in a cool, dry place.

11. Incompatibilities

Hydrogenated castor oil is compatible with most natural vegetable and animal waxes.

12. Method of Manufacture

Hydrogenated castor oil is prepared by the hydrogenation of castor oil using a catalyst.

13. Safety

Hydrogenated castor oil is used in oral and topical pharmaceutical formulations and is generally regarded as an essentially nontoxic and nonirritant material. Acute oral toxicity studies in animals have shown that hydrogenated castor oil is a relatively nontoxic material. Irritation tests with rabbits show that hydrogenated castor oil causes mild, transient irritation to the eye. LD50 (rat, oral): >10 g/kg

14. Handling Precautions

Observe normal precautions appropriate to the circumstances and quantity of material handled.

15. Regulatory Status

Accepted in the USA as an indirect food additive. Included in the FDA Inactive Ingredients Database (oral capsules, tablets, and sublingual tablets). Included in nonparenteral medicines licensed in the UK. Included in the Canadian List of Acceptable Non-medicinal Ingredients.

16. Related Substances

Castor oil; vegetable oil, hydrogenated.

17. Comments

Various different grades of hydrogenated castor oil are commercially available, the composition of which may vary considerably Sterotex K (Karlshamns Lipid Specialities), for example, is a mixture of hydrogenated castor oil and hydrogenated cottonseed oil. See Vegetable Oil, hydrogenated for further information. The EINECS number for hydrogenated castor oil is 232-292-2.