Cellulose, Microcrystalline

Basic Information

Name: Cellulose, Microcrystalline

CAS No: Cellulose [9004-34-6]

Functional Categories

Adsorbent Suspending agent Tablet and capsule diluent Tablet disintegrant

1. Nonproprietary Names

BP: Microcrystalline Cellulose JP: Microcrystalline Cellulose PhEur: Cellulose, Microcrystalline USP-NF: Microcrystalline Cellulose

2. Synonyms

Avicel PH; Cellets; Celex; cellulose gel; hellulosum microcristallinum; Celphere; Ceolus KG; crystalline cellulose; E460; Emcocel; Ethispheres; Fibrocel; MCC Sanaq; Pharmacel; Tabulose; Vivapur

3. Chemical Name & CAS Registry

Cellulose [9004-34-6]

4. Empirical Formula & Molecular Weight

(C6H10O5)n 36 000 where n  220.

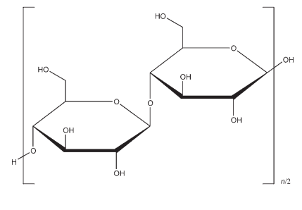
5. Structural Formula

6. Applications

Microcrystalline cellulose is widely used in pharmaceuticals, primarily as a binder/diluent in oral tablet and capsule formulations where it is used in both wet-granulation and direct-compression processes.(1–7) In addition to its use as a binder/diluent, microcrystalline cellulose also has some lubricant(8) and disintegrant properties that make it useful in tableting. Microcrystalline cellulose is also used in cosmetics and food products;

7. Description

Microcrystalline cellulose is a purified, partially depolymerized cellulose that occurs as a white, odorless, tasteless, crystalline powder composed of porous particles. It is commercially available in different particle sizes and moisture grades that have different properties and applications.

8. Pharmacopeial Specifications

See Table II.

9. Typical Properties

Angle of repose 498 for Ceolus KG; 34.48 for Emcocel 90M. (9) Density (bulk) 0.337 g/cm3 ; 0.32 g/cm3 for Avicel PH-101; (10) 0.80  5 g/cm3 for Cellets 100, 200, 350, 500, 700, 1000; 0.29 g/cm3 for Emcocel 90M; (9) 0.26–0.31 g/cm3 for MCC Sanaq 101; 0.28–0.33 g/cm3 for MCC Sanaq 102; 0.29–0.36 g/cm3 for MCC Sanaq 200; 0.34–0.45 g/cm3 for MCC Sanaq 301; 0.35–0.46 g/cm3 for MCC Sanaq 302; 0.13–0.23 g/cm3 for MCC Sanaq UL-002; 0.29 g/cm3 for Vivapur 101. Density (tapped) 0.478 g/cm3 ; 0.45 g/cm3 for Avicel PH-101; 0.35 g/cm3 for Emcocel 90M. (9) Density (true) 1.512–1.668 g/cm3 1.420–1.460 g/cm3 for Avicel PH-102. (11) Flowability 1.41 g/s for Emcocel 90M.(9) Melting point Chars at 260–2708C. Moisture content Typically less than 5% w/w. However, different grades may contain varying amounts of water. Microcrystalline cellulose is hygroscopic.(12) See Table III. NIR spectra see Figure 1. Particle size distribution Typical mean particle size is 20–200 mm. Different grades may have a different nominal mean particle size; see Table III. Solubility Slightly soluble in 5% w/v sodium hydroxide solution; practically insoluble in water, dilute acids, and most organic solvents. Specific surface area 1.06–1.12 m2 /g for Avicel PH-101; 1.21–1.30 m2 /g for Avicel PH-102; 0.78–1.18 m2 /g for Avicel PH-200

10. Stability & Storage

Microcrystalline cellulose is a stable though hygroscopic material. The bulk material should be stored in a well-closed container in a cool, dry place.

11. Incompatibilities

Microcrystalline cellulose is incompatible with strong oxidizing agents.

12. Method of Manufacture

Microcrystalline cellulose is manufactured by controlled hydrolysis with dilute mineral acid solutions of a-cellulose, obtained as a pulp from fibrous plant materials. Following hydrolysis, the hydrocellulose is purified by filtration and the aqueous slurry is spraydried to form dry, porous particles of a broad size distribution.

13. Safety

Microcrystalline cellulose is widely used in oral pharmaceutical formulations and food products and is generally regarded as a relatively nontoxic and nonirritant material. Microcrystalline cellulose is not absorbed systemically following oral administration and thus has little toxic potential. Consumption of large quantities of cellulose may have a laxative effect, although this is unlikely to be a problem when cellulose is used as an excipient in pharmaceutical formulations. Deliberate abuse of formulations containing cellulose, either by inhalation or by injection, has resulted in the formation of cellulose granulomas.(13)

14. Handling Precautions

Observe normal precautions appropriate to the circumstances and quantity of material handled. Microcrystalline cellulose may be irritant to the eyes. Gloves, eye protection, and a dust mask are recommended. In the UK, the workplace exposure limits for cellulose have been set at 10 mg/m3 long-term (8-hour TWA) for total inhalable dust and 4 mg/m3 for respirable dust; the short-term limit for total inhalable dust has been set at 20 mg/m3 . (14)

15. Regulatory Status

GRAS listed. Accepted for use as a food additive in Europe. Included in the FDA Inactive Ingredients Database (inhalations; oral capsules, powders, suspensions, syrups, and tablets; topical and vaginal preparations). Included in nonparenteral medicines licensed in the UK. Included in the Canadian List of Acceptable Nonmedicinal Ingredients.

16. Related Substances

Microcrystalline cellulose and carrageenan; microcrystalline cellulose and carboxymethylcellulose sodium; microcrystalline cellulose and guar gum; powdered cellulose; silicified microcrystalline cellulose. Microcrystalline cellulose and carrageenan Synonyms Lustre Clear. Comments Lustre Clear (FMC Biopolymer) is an aqueous film coating combining microcrystalline cellulose and carrageenan. Microcrystalline cellulose and guar gum Synonyms Avicel CE-15. Comments Avicel CE-15 (FMC Biopolymer) is a coprocessed mixture of microcrystalline cellulose and guar gum used in chewable tablet formulations.

17. Comments

Microcrystalline cellulose is one of the materials that have been selected for harmonization by the Pharmacopeial Discussion Group. For further information see the General Information Chapter <1196> in the USP32–NF27, the General Chapter 5.8 in PhEur 6.0, along with the ‘State of Work’ document on the PhEur EDQM website, and also the General Information Chapter 8 in the JP XV. Several different grades of microcrystalline cellulose are commercially available that differ in their method of manufacture,(15,16) particle size, moisture, flow, and other physical properties.(17–29) The larger-particle-size grades generally provide better flow properties in pharmaceutical machinery. Low-moisture grades are used with moisture-sensitive materials. Higher-density grades have improved flowability. Several coprocessed mixtures of microcrystalline cellulose with other excipients such as carrageenan, carboxymethylcellulose sodium, and guar gum are commercially available; see Section 17. Celphere (Asahi Kasei Corporation) is a pure spheronized microcrystalline cellulose available in several different particle size ranges. Balocel Sanaq (Pharmatrans Sanaq AG) is an excipient used mainly in the production of pellets and granulates in direct tableting, which contains lactose, microcrystalline cellulose, and sodium carboxymethylcellulose. According to PhEur 6.3, microcrystalline cellulose has certain functionality related characteristics that are recognised as being relevant control parameters for one or more functions of the substance when used as an excipient. Non-mandatory testing procedures have been described for particle size distribution (2.9.31 or 2.9.38) and powder flow (2.9.36). A specification for microcrystalline cellulose is contained in the Food Chemicals Codex (FCC).(30) The PubChem Compound ID (CID) for microcrystalline cellulose is 14055602.