Cellulose Acetate Phthalate

Basic Information

Name: Cellulose Acetate Phthalate

CAS No: Cellulose, acetate, 1,2-benzenedicarboxylate [9004-38-0

Functional Categories

Coating agent

1. Nonproprietary Names

BP: Cellacefate JP: Cellacefate PhEur: Cellulose Acetate Phthalate USP-NF: Cellacefate

2. Synonyms

Acetyl phthalyl cellulose; Aquacoat cPD; CAP; cellacephate; cellulose acetate benzene-1,2-dicarboxylate; cellulose acetate hydrogen 1,2-benzenedicarboxylate; cellulose acetate hydrogen phthalate; cellulose acetate monophthalate; cellulose acetophthalate; cellulose acetylphthalate; cellulosi acetas phthalas

3. Chemical Name & CAS Registry

Cellulose, acetate, 1,2-benzenedicarboxylate [9004-38-0

4. Empirical Formula & Molecular Weight

Cellulose acetate phthalate is a cellulose in which about half the hydroxyl groups are acetylated, and about a quarter are esterified with one of two acid groups being phthalic acid, where the remaining acid group is free

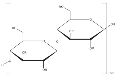
5. Structural Formula

The PhEur 6.3 and USP32–NF27 describe cellulose acetate phthalate as a reaction product of phthalic anhydride and a partial acetate ester of cellulose containing 21.5–26.0% of acetyl (C2H3O) groups, and 30.0–36.0% of phthalyl(o-carboxybenzoyl, C8H5O3) groups, calculated on the anhydrous and free acid-free basis

6. Applications

Cellulose acetate phthalate (CAP) is used as an enteric film coating material, or as a matrix binder for tablets and capsules.(1–8) Such coatings resist prolonged contact with the strongly acidic gastric fluid, but dissolve in the mildly acidic or neutral intestinal environment. Cellulose acetate phthalate is commonly applied to solid-dosage forms either by coating from organic or aqueous solvent systems, or by direct compression. Concentrations generally used are 0.5–9.0% of the core weight. The addition of plasticizers improves the water resistance of this coating material, and formulations using such plasticizers are more effective than when cellulose acetate phthalate is used alone. Cellulose acetate phthalate is compatible with many plasticizers, including acetylated monoglyceride; butyl phthalybutyl glycolate; dibutyl tartrate; diethyl phthalate; dimethyl phthalate; ethyl phthalylethyl glycolate; glycerin; propylene glycol; triacetin; triacetin citrate; and tripropionin. It is also used in combination with other coating agents such as ethyl cellulose, in drug controlledrelease preparations. Therapeutically, cellulose acetate phthalate has recently been reported to exhibit experimental microbicidal activity against sexually transmitted disease pathogens, such as the HIV-1 retrovirus.(9,10

7. Description

Cellulose acetate phthalate is a hygroscopic, white to off-white, freeflowing powder, granule, or flake. It is tasteless and odorless, or might have a slight odor of acetic acid.

8. Pharmacopeial Specifications

See Table I.

9. Typical Properties

Density (bulk) 0.260 g/cm3 Density (tapped) 0.266 g/cm3 Melting point 1928C. Glass transition temperature is 160–1708C.(11) Moisture content Cellulose acetate phthalate is hygroscopic and precautions are necessary to avoid excessive absorption of moisture. Equilibrium moisture content has been reported as 2.2%, but moisture content is a function of relative humidity.(12) See also Figure 1. NIR spectra see Figure 2. Solubility Practically insoluble in water, alcohols, and chlorinated and nonchlorinated hydrocarbons. Soluble in a number of ketones, esters, ether alcohols, cyclic ethers, and in certain solvent mixtures. It can be soluble in certain buffered aqueous solutions as low as pH 6.0. Cellulose acetate phthalate has a solubility of 410% w/w in a wide range of solvents and solvent mixtures; see Table II and Table III. Viscosity (dynamic) A 15% w/w solution in acetone with a moisture content of 0.4% has a viscosity of 50–90 mPa s (50–90 cP). This is a good coating solution with a honey-like consistency, but the viscosity is influenced by the purity of the solvent.

10. Stability & Storage

Slow hydrolysis of cellulose acetate phthalate will occur under prolonged adverse conditions such as high temperatures and high humidity, with a resultant increase in free acid content, viscosity, and odor of acetic acid. However, cellulose acetate phthalate is stable if stored in a well-closed container in a cool, dry place.

11. Incompatibilities

Cellulose acetate phthalate is incompatible with ferrous sulfate, ferric chloride, silver nitrate, sodium citrate, aluminum sulfate, calcium chloride, mercuric chloride, barium nitrate, basic lead acetate, and strong oxidizing agents such as strong alkalis and acids.

12. Method of Manufacture

Cellulose acetate phthalate is produced by reacting the partial acetate ester of cellulose with phthalic anhydride in the presence of a tertiary organic base such as pyridine, or a strong acid such as sulfuric acid

13. Safety

Cellulose acetate phthalate is widely used in oral pharmaceutical products and is generally regarded as a nontoxic material, free of adverse effects. Results of long-term feeding in rats and dogs have indicated a low oral toxicity. Rats survived daily feedings of up to 30% in the diet for up to 1 year without showing a depression in growth. Dogs fed 16 g daily in the diet for 1 year remained normal.

14. Handling Precautions

Observe normal precautions appropriate to the circumstances and quantity of material handled. Cellulose acetate phthalate may be irritant to the eyes, mucous membranes, and upper respiratory tract. Eye protection and gloves are recommended. Cellulose acetate phthalate should be handled in a well-ventilated environment; use of a respirator is recommended when handling large quantities

15. Regulatory Status

Included in the FDA Inactive Ingredients Database (oral tablets). Included in nonparenteral medicines licensed in the UK. Included in the Canadian List of Acceptable Non-medicinal Ingredients

16. Related Substances

Cellulose acetate; hypromellose phthalate; polyvinyl acetate phthalat

17. Comments

Cellulose acetate phthalate is one of the materials that have been selected for harmonization by the Pharmacopeial Discussion Group. For further information see the General Information Chapter <1196> in the USP32–NF27, the General Chapter 5.8 in PhEur 6.0, along with the ‘State of Work’ document on the PhEur EDQM website, and also the General Information Chapter 8 in the JP XV. Any plasticizers that are used with cellulose acetate phthalate to improve performance should be chosen on the basis of experimental evidence. The same plasticizer used in a different tablet base coating may not yield a satisfactory product. In using mixed solvents, it is important to dissolve the cellulose acetate phthalate in the solvent with the greater dissolving power, and then to add the second solvent. Cellulose acetate phthalate should always be added to the solvent, not the reverse. Cellulose acetate phthalate films are permeable to certain ionic substances, such as potassium iodide and ammonium chloride. In such cases, an appropriate sealer subcoat should be used. A reconstituted colloidal dispersion of latex particles rather than solvent solution coating material of cellulose acetate phthalate is also available. This white, water-insoluble powder is composed of solid or semisolid submicrometer-sized polymer spheres with an average particle size of 0.2 mm. A typical coating system made from this latex powder is a 10–30% solid-content aqueous dispersion with a viscosity in the 50–100 mPa s (50–100 cP) range.